Secondary IV • 1yr.
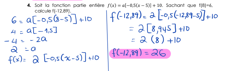
Bonjour, je suis en train de faire ce problème, voici le corrigé. Je ne comprends pas comment on arrive au -2a dans la première colonne.
Merci!
Bonjour, je suis en train de faire ce problème, voici le corrigé. Je ne comprends pas comment on arrive au -2a dans la première colonne.
Merci!
Explanation from Alloprof
This Explanation was submitted by a member of the Alloprof team.
Salut!
La partie entière d'un nombre est le plus grand entier inférieur ou égal à 𝑥.
Ainsi, la partie entière de -4,33 est -5, car -5 est le plus grand entier inférieur ou égal à -4,33.
La partie entière de 2,583 est 2, car 2 est le plus grand entier inférieur ou égal à 2,583.
Voici d'autres exemples :
Ce contenu est protégé par le droit d'auteur. Toute reproduction à l'extérieur des forums Alloprof est interdite et pourra être considérée comme une violation du droit d'auteur.
Ainsi, la partie entière d'un nombre positif est un nombre en valeur absolue plus petit (\([4,5]=4\)), tandis que la partie entière d'un nombre négatif est un nombre en valeur absolue plus grand (\([-4,5]=5\)).
C'est donc pour cela que [-1,5] devient -2, car la partie entière de -1,5 est -2.
Ce contenu est protégé par le droit d'auteur. Toute reproduction à l'extérieur des forums Alloprof est interdite et pourra être considérée comme une violation du droit d'auteur.
J'espère que c'est plus clair pour toi! :)