Secondary IV • 1yr.
Bonjour, j'avais une petite question, je me demandais si comment j'avais fait ma démarche pour prouver que les deux triangle sont semblable est bonne ou pas, même si ce n'est pas pareil que dans le corriger.
Merci à l'avance!!
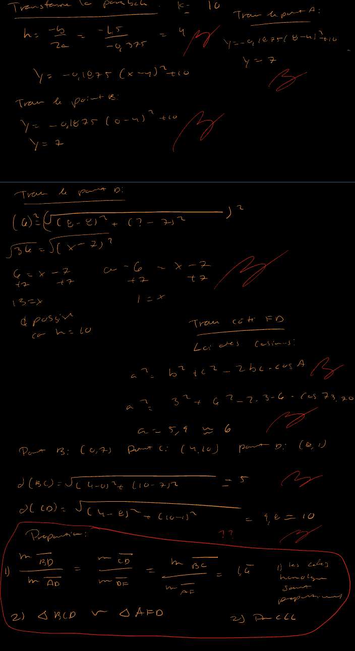
Voici le problème:
Voici ce que j'ai fait:


Explanation from Alloprof
This Explanation was submitted by a member of the Alloprof team.
Allo GalaxieSigma4570,
Merci pour ta question!
Oui! Tout semble bien!
J'espère t'avoir aidé!
Lea-Kim