Secondary V • 1yr.
Bonjour! Je n'arrive pas à faire ce numéro, où il faut transformer cette fonction rationnelle de 4 paramètres à 3 paramètres, quelqu'un pourrait m'expliquer comment faire s'il-vous plait? La réponse est 13/x+3 - 3,5. Merci d'avance!

Il n'y a qu'un paramètre: la variable x
Explanation from Alloprof
This Explanation was submitted by a member of the Alloprof team.
Salut!
Tu dois commencer par simplifier l'expression en annulant le signe négatif au dénominateur, comme ceci :
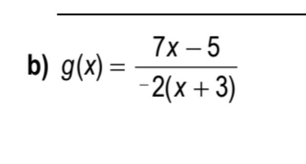
$$ \frac{7x-5}{-2(x+3)}$$
$$ -\frac{7x-5}{2(x+3)}$$
$$ \frac{-7x+5}{2(x+3)}$$
Puis, tu dois distribuer le facteur 2 à l'intérieur de la parenthèse. Ensuite, tu devras diviser le numérateur par le dénominateur avec la méthode de la division par crochet. Consulte cette fiche au besoin : La division d'une expression algébrique par un binôme | Secondaire | Alloprof
Tu peux également consulter la section "passage de la forme P/Q à la forme canonique" de la fiche suivante, elle présente justement la démarche pour passer d'une équation de 4 paramètres à une équation de 3 paramètres : Le passage de canonique à générale pour la fonction rationnelle | Secondaire | Alloprof
Je te laisse essayer avec ces indices. N'hésite pas à nous réécrire si tu as besoin d'un coup de main supplémentaire! :)