Secondary V • 1yr.
Bonjour! Je ne comprend pas bien comment simplifier une expression qui a des exposants comme dans la photo. Il faut le distribuer ou autres? Je ne trouve pas de videos youtube qui expliquent bien le sujet à ce niveau de simplification…Merci d’avance!

Explanation from Alloprof
This Explanation was submitted by a member of the Alloprof team.
Bonjour PerleAlpha9652,
Merci pour ta question :)
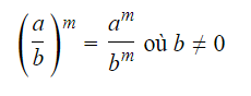
La première chose à faire serait de s'occuper des exposants qui s'appliquent à une parenthèse, comme c'est le cas de la deuxième parenthèse de ton exercice. Grâce à cette propriété des exposants, on sait ceci:
Ce contenu est protégé par le droit d'auteur. Toute reproduction à l'extérieur des forums Alloprof est interdite et pourra être considérée comme une violation du droit d'auteur.
Tu pourrais donc appliquer l'exposant -7/3 au numérateur ainsi qu'au dénominateur de cette fraction.
L'étape suivante serait de multiplier les termes au numérateurs et les termes au dénominateur, tout en respectant les propriétés des exposants. Si tu as besoin d'y jeter un coup d'oeil, je t'envoie la page d'Alloprof:
La dernière chose que je te conseille pour la résolution de ce problème est de garder l'expression (x-1) tel quel. Ce que je veux dire par cela, c'est de ne pas essayer de calculer (pas au début en tout cas) cette expression avec ses exposants. Fais les opérations que tu ferais normalement, mais en gardant le terme (x-1) sans le développer.
J'espère que cela pourra t'aider :)
Sandrine
Je regarde la forme de l'expression et j'essaie de voir quels termes reviennent et pourraient être simplifiés.
Puis c'est la méthode d'essai et erreur.
Ici tu as le (x-1)² et le x²
Si je n'ai pas fait d'erreur cela donne cette expression (qui n'est quand même pas si simple)
Ce contenu est protégé par le droit d'auteur. Toute reproduction à l'extérieur des forums Alloprof est interdite et pourra être considérée comme une violation du droit d'auteur.