Allo alloprof,
Je ne sait pas comment résoudre ce problème. Il faut réduir l'expression algébrique. J'ai essayé, mais sa m'a donné la racine carré de 7/3.
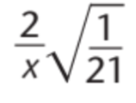
Le problème:
Ce contenu est protégé par le droit d'auteur. Toute reproduction à l'extérieur des forums Alloprof est interdite et pourra être considérée comme une violation du droit d'auteur.
La réponse du corriger:
Ce contenu est protégé par le droit d'auteur. Toute reproduction à l'extérieur des forums Alloprof est interdite et pourra être considérée comme une violation du droit d'auteur.
Explanation verified by Alloprof
This Explanation was verified by a member of the Alloprof team.
Les parenthèses sont sous utilisées et pourtant elles clarifient ce que l'on cherche à faire.
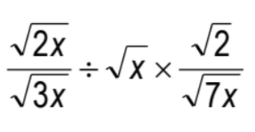
Ici il faut lire:
Ce contenu est protégé par le droit d'auteur. Toute reproduction à l'extérieur des forums Alloprof est interdite et pourra être considérée comme une violation du droit d'auteur.
ce qui donne
( √2 /√(3x) ) · (√2 /√(7x))
car √x / √x donne 1 dans la parenthèse
= 2 / (x√21)
car √2 · √2 = 2 et √(3x) · √(7x) = x√21