Skip to content

Help Zone

Student Question

Secondary III • 1yr.

Bonjour, j’essaye de résoudre une opération algébrique.

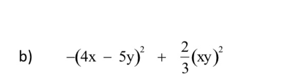
IMG_3890.jpeg

Voici la réponse que j’ai obtenue

IMG_3892.jpeg

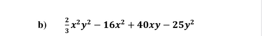
Voici la réponse correcte

IMG_3891.jpeg

Est-ce quelqu’un peut me dire d’où vient le 40xy ?

Mathématiques
avatar
avatar

{t c="richEditor.description.title"} {t c="richEditor.description.paragraphMenu"} {t c="richEditor.description.inlineMenu"} {t c="richEditor.description.embed"}

Explanations (1)

  • Explanation from Alloprof

    Explanation from Alloprof

    This Explanation was submitted by a member of the Alloprof team.

    Options
    Team Alloprof • 1yr.

    Bonsoir, OnyxZen3912!

    Tu ne peux pas simplement distribuer l'exposant sur chaque terme de la différence. L'exposant 2 indique que la parenthèse se multiplie.

    $$ \begin{align} (a-b)^{2} & \neq a^2 - b^2 \\  (a-b)^{2} &=(a-b)(a-b)\\  &=a^2-2ab+b^2 \\ \end{align} $$

    Lis les règles de l'exponentiation dans les expressions algébriques.

    • Si le polynôme est uniquement constitué de multiplications et de divisions, on peut alors utiliser certaines propriétés des exposants afin de réduire l'expression algébrique.
    • Si le polynôme contient des additions ou des soustractions, il faudra alors le développer afin de pouvoir le réduire.

    N'hésite pas à poser d'autres questions!

Ask a question