Secondary IV • 1yr.
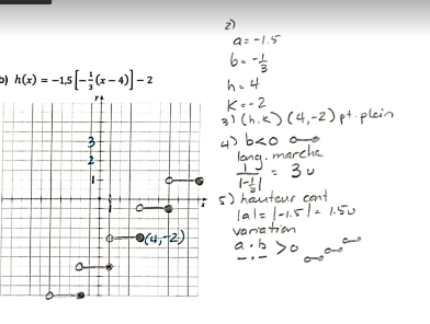
Bonjour, je ne comprend la longueur d'une marche dans la fonction partie entière car le b est égal a -1/3 et lorsque je calcule la longueur de la marche ca me donne 4/3 mais dans mon corrigé la réponse est 3 est ce que la réponse est le dénominateur? corrigé en haut numéro en bas.Merci


Explanation from Alloprof
This Explanation was submitted by a member of the Alloprof team.
Allo RubisOptimiste2118,
Merci pour ta question!
La longueur d'une marche est toujours 1/b. La / représente une division. Alors, si on a 1/1/3=3.
Oui, lorsque l'on a une fraction, le dénominateur est la longueur de la marche.
J'espère t'avoir aidé!
Lea-Kim