Secondary V • 1yr.
Bonjour, j'ai de la difficulté a faire ce problème de math. Je ne sais pas si il y a une formule que je peux prendre ou non. Merci de l'aide!
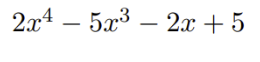
Je dois factoriser complètement l'image.

Explanation from Alloprof
This Explanation was submitted by a member of the Alloprof team.
Salut!
Comme expliqué par FerUpsilon5520, tu dois faire une mise en évidence double! :)
Voici une fiche sur cette notion qui pourrait t'être utile : La mise en évidence double | Secondaire | Alloprof
Si tu as d'autres questions, n'hésite pas à nous réécrire! :)
Il faut repérer les éléments communs
2 est un facteur commun à deux termes et
5 est un facteur commun à deux autres termes
2x^4 - 5x³ - 2x + 5 = 2x^4 - 2x - 5x³ + 5
= 2x(x³ - 1) - 5(x³ - 1) = (2x - 5)(x³ - 1)