Skip to content

Help Zone

Student Question

Secondary IV • 10mo.

Bonjour,


je ne comprend pas le numéro f, je dois résoudre le système avec la méthode de substitution:

image.jpg


Mathématiques
avatar
avatar

{t c="richEditor.description.title"} {t c="richEditor.description.paragraphMenu"} {t c="richEditor.description.inlineMenu"} {t c="richEditor.description.embed"}

Explanations (2)

  • Explanation from Alloprof

    Explanation from Alloprof

    This Explanation was submitted by a member of the Alloprof team.

    Options
    Team Alloprof • 10mo.

    Bonjour FraiseComique4678, merci pour ta question !


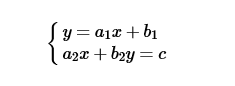
    La méthode de substitution est une méthode qui permet de résoudre algébriquement un système d'équations où une équation est sous la forme y=ax+b et l'autre ax+by=c.


    Quand tu as un système sous cette forme, on va privilégier la substitution :

    image.png


    Le but est de prendre l'expression de la première équation (après le signe égal) et de l'insérer (le substituer) au y dans la seconde équation

    m1088i10.JPG


    Voici un lien vers notre fiche sur la substitution si tu veux en savoir plus : https://www.alloprof.qc.ca/fr/eleves/bv/mathematiques/la-methode-de-substitution-m1088


    N'hésite pas à nous écrire si tu as d'autres questions !

  • Options
    Secondary V • 10mo.

    Bonjour,

    Merci pour ta question,

    Dans une substitution nous devons avoir obligatoirement un y d'isolé. Ici tu n'en as pas. Alors, tu dois isolé un des y pour commencer.

    Si on prend -6x -15y = 3 nous devons ammener le -6x de l'autre côté avec le 3 pour que ton y sois isolé. Pour ce faire tu fais l'opération inverse de -6x sois +6x ce qui donne : -15y = 6x + 3

    Après cela tu es en mesure de faire une susbstitution ! Voici une fiche pour t'aider :

    N'hésite pas si tu as d'autres questions !

    BrachiosaureTimide314

Ask a question