Est-ce vrai que cette équation log est croissante ?
Ce contenu est protégé par le droit d'auteur. Toute reproduction à l'extérieur des forums Alloprof est interdite et pourra être considérée comme une violation du droit d'auteur.
L'argument d'un log est toujours positif puisque c'est le résultat de la base qui est positive à laquelle on a appliqué un exposant.
ici l'argument du logarithme népérien est -2(x-3)
donc -2(x-3)>0 => x-3 <0 et x <3
plus x diminue plus -2(x-3) sera grand mais aussi ln (-2(x-3))
par contre comme on multiplie le log par -5 cela veut dire que plus x diminue plus -5ln (-2(x-3)) + 4 diminue ce qui est équivalent à dire que lors que x augmente -5ln (-2(x-3)) + 4 augmente
Ce contenu est protégé par le droit d'auteur. Toute reproduction à l'extérieur des forums Alloprof est interdite et pourra être considérée comme une violation du droit d'auteur.
0
Explanation from Alloprof
Explanation from Alloprof
This Explanation was submitted by a member of the Alloprof team.
Ce contenu est protégé par le droit d'auteur. Toute reproduction à l'extérieur des forums Alloprof est interdite et pourra être considérée comme une violation du droit d'auteur.
Sans graphique, pour une fonction logarithme sous forme canonique, on peut analyser les paramètres a, b et c pour déterminer la croissance ou la décroissance.-2.La fonction est croissante si :
Ce contenu est protégé par le droit d'auteur. Toute reproduction à l'extérieur des forums Alloprof est interdite et pourra être considérée comme une violation du droit d'auteur.
La fonction est décroissante si :
Ce contenu est protégé par le droit d'auteur. Toute reproduction à l'extérieur des forums Alloprof est interdite et pourra être considérée comme une violation du droit d'auteur.
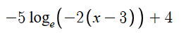
On a l'équation :
Ce contenu est protégé par le droit d'auteur. Toute reproduction à l'extérieur des forums Alloprof est interdite et pourra être considérée comme une violation du droit d'auteur.
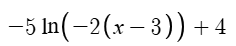
qui équivaut à :
Ce contenu est protégé par le droit d'auteur. Toute reproduction à l'extérieur des forums Alloprof est interdite et pourra être considérée comme une violation du droit d'auteur.
Donc, les paramètres sont : c=e≈2.71828, a=-5 et b=-2. Puisque c est supérieur à 1 et que a et b sont de même signe, alors la fonction est croissante.
Si tu as d'autres questions, n'hésite pas à nous réécrire! :)
L'argument d'un log est toujours positif puisque c'est le résultat de la base qui est positive à laquelle on a appliqué un exposant.
ici l'argument du logarithme népérien est -2(x-3)
donc -2(x-3)>0 => x-3 <0 et x <3
plus x diminue plus -2(x-3) sera grand mais aussi ln (-2(x-3))
par contre comme on multiplie le log par -5 cela veut dire que plus x diminue plus -5ln (-2(x-3)) + 4 diminue ce qui est équivalent à dire que lors que x augmente -5ln (-2(x-3)) + 4 augmente
Ce contenu est protégé par le droit d'auteur. Toute reproduction à l'extérieur des forums Alloprof est interdite et pourra être considérée comme une violation du droit d'auteur.
Explanation from Alloprof
This Explanation was submitted by a member of the Alloprof team.
Salut!
En effet, la fonction est croissante :D
Ce contenu est protégé par le droit d'auteur. Toute reproduction à l'extérieur des forums Alloprof est interdite et pourra être considérée comme une violation du droit d'auteur.
Sans graphique, pour une fonction logarithme sous forme canonique, on peut analyser les paramètres a, b et c pour déterminer la croissance ou la décroissance.-2.La fonction est croissante si :
Ce contenu est protégé par le droit d'auteur. Toute reproduction à l'extérieur des forums Alloprof est interdite et pourra être considérée comme une violation du droit d'auteur.
La fonction est décroissante si :
Ce contenu est protégé par le droit d'auteur. Toute reproduction à l'extérieur des forums Alloprof est interdite et pourra être considérée comme une violation du droit d'auteur.
On a l'équation :
Ce contenu est protégé par le droit d'auteur. Toute reproduction à l'extérieur des forums Alloprof est interdite et pourra être considérée comme une violation du droit d'auteur.
qui équivaut à :
Ce contenu est protégé par le droit d'auteur. Toute reproduction à l'extérieur des forums Alloprof est interdite et pourra être considérée comme une violation du droit d'auteur.
Donc, les paramètres sont : c=e≈2.71828, a=-5 et b=-2. Puisque c est supérieur à 1 et que a et b sont de même signe, alors la fonction est croissante.
Si tu as d'autres questions, n'hésite pas à nous réécrire! :)