Populaires
Question
Nous avons bientôt une évaluation à propos du néolithique et je ne suis pas sûr de bien comprendre et j'ai peur de couler mon éval, que faire?
Au revoir et merci de me répondre
Re : Question
Etudie dans la fiche du néolithique qu'il y a sur Alloprof ça m'a beaucoup aider.
Re : Question
Bonjour RenardMauve2069!
Bienvenue dans la Zone!
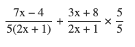
Pour le #2 (des additions et des soustractions), tu dois exprimer les 2 quotients avec un dénominateur commun. Pour le c) par exemple, tu devras multiplier le second quotient par 5/5 :
Ce qui va te donner :
Tu exprimes ensuite le tout sur 5(2x+1). Tu simplifies le numérateur en additionnant / soustrayant les termes semblables. Tu essaies de voir si tu peux faire une mise en évidence au numérateur (dans le but éventuel de pouvoir simplifier avec un élément du dénominateur). Sinon, tu auras ta réponse.
Pour le #3, tu dois multiplier les numérateurs ensemble et les dénominateurs ensemble. Tu essaies ensuite de faire des mises en évidence au numérateur et au dénominateur dans le but de simplifier.
Pour le #4, tu dois changer ta division par une multiplication de l'inverse du second rapport. Ensuite, tu fais exactement comme au #3.
Voilà, j’espère que ces quelques explications t’ont permis de mieux comprendre comment résoudre ce genre de problème.
Si tu as besoin d'explications supplémentaires, n'hésite pas à revenir nous voir.
Merci d’avoir fait appel à la Zone et bonne journée!
Re : Question
Salut !
Merci pour cette question. :)
Dans un cas comme celui-ci, bien que le Cardinal de Richelieu a eu son mot à dire en ce qui a trait à l'organisation du gouvernement royal de la Nouvelle-France, ce personnage ne fait partie d'aucune classe sociale. Il s'allie toutefois avec le roi de France.
J'espère que ça t'éclaire ! Tu peux consulter cette fiche au besoin et nous réécrire si tu as d'autres questions !
Océane :)
Re : Question
Salut AvocatPacifique3156,
Merci pour ta question!
Cette fiche pourrait t'intéresser : https://www.alloprof.qc.ca/fr/eleves/bv/mathematiques/les-pourcentages-et-les-situations-directement-pro-m1548
N'hésite pas si tu as une autre question,
Laurie
Re : Question
Bonsoir DragonZen9690,
Merci de solliciter nos services.
Selon le dictionnaire Usito, nous allons EN prison. Alors, le mot à utiliser serait en.
Voici le lien vers le dictionnaire en ligne : https://usito.usherbrooke.ca/d%C3%A9finitions/prison
N’hésite pas à nous réécrire si tu as d’autres questions!
À bientôt !
Émilie
Question
Bonjour AllôProf,
À quoi servait le conseil souverain en Nouvelle-France vers les années 1600~1700?
Merci
Re : Question
Bonsoir!
Voici des fiches sur chaque catégorie de déterminants :
Bonne soirée!
Audrey
Re : Question
Bonsoir,
Cela dépend : est-ce que tu parles d'un pays en particulier avec lequel le Bangladesh partage ses frontières? Si oui, il est important de vérifier s'il partage qu'une seule frontière avec celui-ci. Sinon, si tu parles en général, on dit « les frontières ».
Bonne soirée!
Audrey
Re : Question
D’après moi les deux se disent, mais j’écrirai, puisque je trouve que ça se dit mieux: “Where were the 1984 Olympics held” et fais attention à ton erreur dans “olympiqics” c’est “Olympics”.

