Liste de discussions
-
Vérifiée par Alloprof
Secondaire 5 • 2aBonjour, je ne suis pas certaine de mon incertitude dans mon devoir, pouvez-vous m’aider?
-
Vérifiée par Alloprof
Secondaire 5 • 2aBonjour, j'ai besoin d’aide pour répondre à cette question,
Un gaz inconnu prend 192 secondes pour s’effuser à travers une paroi poreuse alors qu’un même volume de diazote (N2 ) s’effuse à travers la même paroi en 84 secondes. Les conditions de température et de pression sont identiques pour les deux gaz. Quelle est la masse molaire du gaz inconnu ?
J'ai obtenu 146,29 g/mol comme réponse et j'ai utilisé la formule tx/t(N2) = √(Mx/M(N2))
Voici ma démarche :Mais dans le corriger ça dit :Je n'ai pas compris pourquoi ils ont obtenu cette réponse.
-
Vérifiée par Alloprof
Primaire 5 • 2aComment faire l’exercice de la chimie.
-
Vérifiée par Alloprof
Secondaire 5 • 2aComment on fait les calculs du baromètre et du manomètre? Et que ce passe-t-il quand les bouts sont fermés ou ouverts?
-
Vérifiée par Alloprof
Secondaire 5 • 2acoucou je ne suis pas capable de faire ce numéro ecq qqun pourrait maider svp
"La décomposition de 2 moles de trioxyde de souffre (SO3) absorbe 791,4 kj. Si l'enthalpie des produits est de 500 kj/mol, complète le diagramme énergétique"
2 SO3 --> 2 S + 3 O2
Est-ce que quelquun pourrait mexpliquer svp? merci beaucoup!
Je sais que jai déjà lenthalpie des produits et que je dois trouver l'enthalpie des réactifs ainsi que la variation denthalpie en utilisant la formule "🔺H = Hp - Hr", mais je ne sais pas par où commencer.
Aussi, le 791,4 kJ correspond à quoi?
-
Vérifiée par Alloprof
Secondaire 5 • 2abonjour' j'ai une personne de votre équipe qui a refuser de m'expliquer comment trouver le formule chimique d'un exercice. Est ce que c'est normale. pour moi non. Merci de votre réponse. !
-
Vérifiée par Alloprof
Secondaire 4 • 2aBonsoir, j’avais une question par rapport à comment trouver la concentration molaire dans un exemple où je connaît seulement la molécule qui est du sucre (C12H22O11) et la concentration en pourcentage qui est de 5,0 % m/m , merci d’avance.
-
Vérifiée par Alloprof
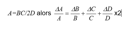
Secondaire 5 • 2aBonjour!
Est-ce-que on doit changer l'incertitude lorsqu'on change de unité?
Exemple: 758,0±0.1mmHG et je le convertis en kPa, est-ce-que je dois recalculer l'incertitude en kPa ou le laisser comme ça?
-
Vérifiée par Alloprof
Secondaire 5 • 2aBonjour, j'ai besoin d’aide pour répondre à cette question,
Un gaz inconnu prend 192 secondes pour s’effuser à travers une paroi poreuse alors qu’un même volume de diazote (N2 ) s’effuse à travers la même paroi en 84 secondes. Les conditions de température et de pression sont identiques pour les deux gaz. Quelle est la masse molaire du gaz inconnu ?
-
Vérifiée par Alloprof
Secondaire 5 • 2aBonjour, je n’arrive pas à savoir quoi faire durant les exercices de stoechio et par où commencer? Par exemple dans se numero je ne comprend pas les étapes et pourquoi elle sont effectué
-
Vérifiée par Alloprof
Secondaire 5 • 2aJe n’arrive pas à comprendre cet exercice de stoechiometrie et je n’arrive jamais à savoir par où commencer
-
Vérifiée par Alloprof
Secondaire 5 • 2asalutje n arrive pas a comprendre la question ?
merci
-
Vérifiée par Alloprof
Secondaire 5 • 2aSalut
Je ne comprend pas que veut dire pression controlée ici pour la loi de grahamest ce que la pression affecte la masse molaire ou la vitesse de diffusion des gaz ?
-
Vérifiée par Alloprof
Secondaire 5 • 2aBonjour pouvez vous m'expliquer la démarche des exerce défit. Je veux aussi savoir comment trouver l'équation de l'exerce I défit. C'est difficile pour moi. Merci
-
Vérifiée par Alloprof
Secondaire 5 • 2aBonjour pouvez vous de dire le démarche de l'exercice3 page 4 de la photo suivante
-
Vérifiée par Alloprof
Secondaire 5 • 2aSalu!
J aimerais avoir c'est quoi le lien entre la température,l'énergie cinétique et surout la pression quand on parle de la théorie cinétique des gaz. J'ai compris pour la température , mais ma difficulté c'est d'établir un lien avec la pression ?
merci
-
Vérifiée par Alloprof
Secondaire 5 • 2apourquoi on ecrit l'hydrogénosulfate d'ammonium.
- NH4HSO4 et pas NH4HS. en fait je comprend pas pourquoi des fois hydrogenosulf.. finit avec ate ou ure. comment on fait pour savoir
-
Vérifiée par Alloprof
Secondaire 5 • 2aBonjour,
J'ai un rapport de laboratoire de chimie a rendre. Il nous demande de trouver le nombre de mol de H2 dans un volume déterminé de solution de H2.
Mon amie a fait une partie du tableau, mais je ne comprends pas comment elle a trouvé ces données et je suis supposée continuer le rapport et l'envoyer.
Merci beaucoup
-
Vérifiée par Alloprof
Secondaire 5 • 2aSalut
Au niveau de cet énoncé
A une temperature donnée , l Ek moyenne des particules est la même pour tous les gaz ,peu importe leur nature.(Dans la théorie cinétique des gaz.) Est-ce qu' il existe un tableau qui donne les Ek de tous les gaz à chaque différente température. Par un exemple un tableau qui donne les Ek moyenne de tous les gaz à 25 degrés ( avec d'autres variables contrôlées ...)
He = x J , etc.
Aussi cet énoncé, est-ce qu'il veut dire qu' un manque de masse est compensé par une vitesse élevé et un surplus de masse est régule par une vitesse faible ce qui fait en sorte que l'Ek moyenne de 2 gaz différents est '' identique ''.
Merci
-
Vérifiée par Alloprof
Secondaire 5 • 2aQue veut dire , les particules de gaz n' exercent aucune force d' attraction ou de répulsion les unes sur les autres, dans la théorie cinétique des gaz.
C'est quoi les forces de répulsion au niveau des particules de gaz ?
Merci
-
Vérifiée par Alloprof
Postsecondaire • 2aBonjour jai de la difficulté avec ce problème:
Calculez l'énergie requise pour arracher un éléctron à 5,75x10^24 ions de Ar^2+(g)
-
Vérifiée par Alloprof
Secondaire 4 • 2abonjour,
je voudrais savoir comment trouver le volume d'une solution. Quelles sont les calculs pour le trouver
-
Vérifiée par Alloprof
Secondaire 5 • 2abonsoir, pourquoi quand on noe CrO4^2- on dit tetraoxochromate et non tetraoxochromure? cest un anion polyatomique simple il doit etre traiter comme les monoatimique normalement non? exemple HS on dit hydrogenosulfure et non sulfate. cest quoi la difference
-
Vérifiée par Alloprof
Secondaire 4 • 2aje ne comprend toujours pas pourquoi on n'utilise pas le 2 dans le calcul de l'incertitude absolue:
-
Vérifiée par Alloprof
Postsecondaire • 2alequel entre les deux à l'I2 (deuxieme energie dionisation)la plus éleve: le Li ou le Be ( la reponse est Li mais je ne comprend pas pourquoi)
-
Vérifiée par Alloprof
Secondaire 5 • 2abonjour, pouvez vous m'aider a reconnaitre une propriété chimique et a reconnaitre un gaz réactif un gaz comburant et un gaz comburant.
-
Vérifiée par Alloprof
Postsecondaire • 2aje ne sais pas comment commencer mon problème pour trouver la molarité
-
Vérifiée par Alloprof
Secondaire 5 • 2aBonjour, je ne comprends pas Comment resoudre le c) merci
-
Vérifiée par Alloprof
Secondaire 5 • 2aHey!
Je suis un peu confus a propos d'un problème.
Si on a un outil a air comprimé avec un contenant qui a une capacité de 20L d'air et qu'on veut créer une pression de 2645 KPa en rajoutant un certain volume d'air, comment faisons-nous pour trouver ce volume d'air a comprimer dans le contenant de 20L de l'outil? (Les conditions initiales sont a TAPN (la température finale est ambiante aussi), et le nombres de moles n'est pas spécifié dans le problème. Je tiens aussi a dire on n'a pas encore vue la loi des gaz parfaits, donc tout ce problème est supposé être fait en utilisant la loi générale!)
La source de ma confusion viens du fait que, dans mon cahier, je suis arriver a une réponse d'environ 0,7L. Mon enseignant m'a expliquer que c'était plutôt environ 500L qu'il fallait rajouter au 20L déja présent pour atteindre une pression de 2645 KPa. Mais ensuite, ChatGPT (pas nécéssairement la source la plus fiable, mais quand même) m'a dit que la réponse était premièrement de 0,7L comme moi, puis ensuite après clarification ChatGPT dit maintenant que c'est environ 52L qu'il faut rajouter.
Vous comprendrez que je suis un peu perdu dans cet océan d'informations contradictoire, et j'apprécierait grandement si vous m'expliquiez ce problème. Merci!
(Mon cahier est a l'école, donc je n'est pas concrètement devant moi se que j'ai fait comme démarche, désolé!)
-
Vérifiée par Alloprof
Postsecondaire • 2aBonjour, je ne comprend pas comment trouver la molarité et la molalité avec le pourcentage massique, la masse volumique et la masse molaire
















