Liste de discussions
-
Vérifiée par Alloprof
Secondaire 5 • 2aai je fais la bonne chose?
-
Vérifiée par Alloprof
Secondaire 5 • 2acomment faire ce numéro?
-
Vérifiée par Alloprof
Secondaire 5 • 2aDans le contexte d'un laboratoire en chimie, nous avons fait réagir 2 g de NaOH solide avec une solution aqueuse de HCl. La question que je ne comprends pas est la suivante:
En supposant que vous utilisiez 4,00 g de NaOH dans la Réaction 1, quel serait le nombre de joules libérées au cours de la réaction? Quel effet ceci aurait-il sur la valeur de "delta H1".
Sachant que la valeur de delta H1 est de -91 342 J.
-
Vérifiée par Alloprof
Secondaire 5 • 2aBonjour,
j’ai besoin d’aide pour répondre à cette question dans mon devoir de chimie.
Je n’arrive pas à trouver la réponse? Quelles peuvent-êtres les variables de ce laboratoire? Je ne comprends pas.Merci,
bonne journée!
-
Vérifiée par Alloprof
Secondaire 5 • 2a2. Une solution d’eau et de sel a une concentration de 10,0 g/L de sel. La masse volumique de la solution est 1 006 g/L.
a. Quel est le % mas de sel dans la solution?
b. Quelle est la masse totale de 20,0 L de cette solution?
Merci d’avance :)
-
Vérifiée par Alloprof
Secondaire 5 • 2aQuelle quantité d'énergie faut-il pour faire passer 200g de glace de solide à liquide?
-
Vérifiée par Alloprof
Secondaire 1 • 2aSi on dépose une bouteille en verre très chaude dans de l’eau glacé, la bouteille risque de se casser. Quelle propriété est en cause? Merci d’avance!
-
Vérifiée par Alloprof
Secondaire 5 • 2aJe ne sais pas comment calculer un rendement théorique!
-
Vérifiée par Alloprof
Secondaire 5 • 2aPouvez-vous m'aider svp?
-
Vérifiée par Alloprof
Secondaire 5 • 2aBonjour, je comprends le concept d'électronégativité. Cependant une phrase de mon prof m'a mélangé. Le phosphore est moins électronegatif que l'hydrogene. Mais je ne suis pas sur de comprendre pourquoi. En fait n'est ce pas l'inverse car techniquement le phosophore a besoin plus de force pour atirer des electrons pour completer sa couche?
-
Vérifiée par Alloprof
Secondaire 5 • 2aje peux savoir la réponse pr cette question svp? merci!
-
Vérifiée par Alloprof
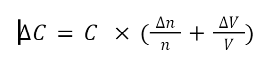
Secondaire 5 • 2aBonjour! Est-ce qu'il est possible de calculer l'incertitude de la concentration d'une solution? Par exemple, disons que dans une expérience, une solution de HCl concentrée à 0,50 mol/L est utilisée. J'aurais tendance à utiliser la formule en pièce jointe.Mais comment est-ce que je trouve l'incertitude du volume (ΔV) ou bien du nombre de moles (Δn)? Est-ce que la seule façon de trouver ΔC serait de savoir comment la personne a fait la solution ou bien que l'incertitude de la concentration soit directement inscrite par la personne?
-
Vérifiée par Alloprof
Secondaire 5 • 2aBonjour,
dans un laboratoire de chimie je dois calculer le pourcentage d'erreur. J'ai utiliser la formule comme montrer en classe ; différence entre la valeur expérimentale et la valeur théorique, divisé par la valeur expérimentale et ensuite multiplier par 100. Ma valeur expérimentale est de 33,6KJ et la valeur théorique est de 36,0KJ. Lorsque je fais le calcul, ça me donne un pourcentage négatif bien évidement. Je voudrais savoir sMil avait une façon pour obtenir un pourcentage positif?
Merci et bonne journée!
-
Vérifiée par Alloprof
Secondaire 5 • 2aBonjour, est ce que la contamination peut être une cause d'erreur dans un laboratoire qui contient de la neutralisation et de la dissolution? si oui, comment? si non, qu'est ce qui pourrait être une cause d'erreur à la place?
-
Vérifiée par Alloprof
Secondaire 5 • 2aBonjour! Je ne sais pas si jai la bonne démarche dans ces exercices. Je ne comprend pas si les moles sont importante dans mon calculs.Pouvez vous m’aider avec le numéro a) et me confirmer si le b) c) et d) sont correcte? Merci!
-
Vérifiée par Alloprof
Secondaire 5 • 2aBonjour, j'avais une expérience avec mon prof et je n'arrive pas à comprendre. L'expérience était la suivante:
une bouteille de 2L était remplie d'eau au 3/4. Le reste était de l'air ambiante. Le bouchon était fermé. Ensuite, une pipette, dont le tube était coupé et 2 vis placé sur le tube plus un matériau inconnu, a été placé à l'intérieur du bouteille. Quand on le compressait la bouteille, de l'eau était rentré dans la pipette et elle est allée se déposer au fond de la bouteille. Quand on l'a lachée elle est allée à la surface de l'eau (position initiale).Je crois que c'est la pression et le volume qui en sont responsable mais je ne suis pas sûr. De plus je dois le présenter sur un carton sans utiliser des mots. Pourriez-vous m'expliquer la raison de cette phénomène et me donner quelques trucs pour la présentation?
-
Vérifiée par Alloprof
Secondaire 5 • 2aBonjour, c'est une question que je ne comprends pas. Pouvez vous m'aider?
Un système fermé permettant au magnésium métallique de réagir sur l’acide
chlorhydrique atteint un état d’équilibre. Ce système est illustré par l’équation
ionique nette suivante.
Mg(s) + 2 H+(aq) ↔ Mg2+(aq) + H2(g)
Vous introduisez dans ce système une pastille d’hydroxyde de sodium, NaOH(s).
Qu’arrive-t-il à la concentration de chacune des substances présentes dans le
système, du point de vue de l’équilibre initial? Expliquez votre réponse.
(Cette explication doit s’appuyer sur le principe de Le Chatelier).
J'ai le corrigé mais je ne comprends pas pourquoi les concentrations varient avec le NaOH.
-
Vérifiée par Alloprof
Secondaire 5 • 2aEn fait je dois le représenter sur une carton sans utiliser des mots. Avez-vous des idées comment je pourrais le faire?
-
Vérifiée par Alloprof
Postsecondaire • 2aquelles sont les propriétés colligatives en Chimie
-
Vérifiée par Alloprof
Secondaire 5 • 2aMon prof en cours a utilisé le terme effet d'écran, mais je n'ai pas vraiment compris ce que ça voulait dire... On peut m'aider?
-
Vérifiée par Alloprof
Secondaire 5 • 2aBonjour,
J'ai 3 questions a poser pour un travail de chimie:
-1ere question:
Avant de se rendre à la plage, un vendeur prend des ballons dans un local dont la température est maintenue à 20 degré Celsius. Après un certain temps, la température des ballons est passée à 35 degré Celsius. Déterminez par quel facteur le volume des ballons à varié?
Ma Réponse: C'est par l'augmentation de la température que cela à varié.
2ème question: Dans une enceinte dont l'une des parois est mobile et ne produit pas de frottement, du dihydrogène et du dichlore réagissent pour former du chlorure d'hydrogène: H2(g) + Cl2(g) = 2HCl(g)
Après la réaction, lorsque le gaz à l'intérieur de l'enceinte aura repris sa température initiale, indiquez s'il occupera un volume différent et expliquez votre réponse.
3eme question:Choisissez une réaction à utiliser comme nouveau dispositif de déploiement des coussins gonflables. En appuyant votre choix sur des arguments relatifs à la sécurité, expliquez pourquoi le ou les gaz produits par cette réaction ne représentent pas un danger additionnel pour les passagers de l'automobile.
-
Vérifiée par Alloprof
Secondaire 5 • 2abonjour
comment on peut savoir si un élément est sous la forme la plus stable ,c'est à dire sous la forme à laquelle il se réprésente naturellement à TAPN ?
Aussi les éléments dans l'annexe avec leurs enthalpie molaire standard on peut déduire que c'est n'est pas leur forme la plus stable à TAPN ?
-
Vérifiée par Alloprof
Secondaire 5 • 2aBonjour, j'avais une expérience avec mon prof et je n'arrive pas à comprendre. L'expérience était la suivante:
une bouteille de 2L était remplie d'eau au 3/4. Le reste était de l'air ambiante. Le bouchon était fermé. Ensuite, une pipette, dont le tube était coupé et 2 vis placé sur le tube plus un matériau inconnu, a été placé à l'intérieur du bouteille. Quand on le compressait la bouteille, de l'eau était rentré dans la pipette et elle est allée se déposer au fond de la bouteille. Quand on l'a lachée elle est allée à la surface de l'eau (position initiale).
-
Vérifiée par Alloprof
Secondaire 4 • 2acs2 +3 o2 -> co2 +2 so2 C 0 S 0 O 0 MERCI DE ME REPONDRE RAPIDEMENT
-
Vérifiée par Alloprof
Secondaire 5 • 2aJe ne suis pas certaine de ma réponse. Je me demande si l’énoncé 2 fait aussi parti des réponses.
-
Vérifiée par Alloprof
Secondaire 5 • 2aJe ne suis pas certaine de savoir quel facteur influence la vitesse de réaction de ces énoncés…
-
Vérifiée par Alloprof
Secondaire 5 • 2aJe ne suis pas certaine d’avoir arrondie ma réponse avec les bons chiffres significatifs?
-
Vérifiée par Alloprof
Secondaire 5 • 2aJe ne suis pas certaine d’avoir fait les bons calculs. Pouvez vous m’aider à déterminer si ne n’ai pas confondu les variables P1, V1, P2, V2 svp?
-
Vérifiée par Alloprof
Secondaire 2 • 2aComment faire un tableau des résultat d'une technique de séparation?
-
Vérifiée par Alloprof
Secondaire 5 • 2aBonjour j’ai un devoir sur la plongée marine en chimie et je me demandais ce qui arriverai si la pression de la bouteille de plongée devient égal à la pression ambiante.
aussi est ce que vous pouvez m’expliquer le comportement des gaz dans la bouteille de plongée lorsqu’elle est entreposée dans une voiture, et lorsqu’elle est se trouve dans le froid?
merci














