Liste de discussions
-
Vérifiée par Alloprof
Secondaire 5 • 3aQuestion math SN de 5
Dans l’étude des coniques, comment différencier les deux types de parabole par leur règle… Je me mélange entre les deux et j’aimerais savoir s’il y a un truc pour différencier les règles et les associer à la bonne représentation graphique?
merci d’avance!
FC2848!
-
Vérifiée par Alloprof
Secondaire 1 • 3aSalut alloprof j’ai un examen de maths jeudi le 5 sur les angle et mes parent on un peu de difficulté,pouvez vous m’aider?
-
Vérifiée par Alloprof
Primaire 6 • 3aPour faire son ragoût de boulettes, un restaurateur a utilisé304grammesde veau,315grammesde porc et539grammesde boeuf.
Avec l'eau et les autres ingrédients, son ragoût avait unemassede3,6kilogrammes.
Quelle était lamasse, engrammes, de l'eau et des autres ingrédients?
( C'est sur Netmaht je ne comprends merci!!)
-
Vérifiée par Alloprof
Secondaire 3 • 3aJe n'arrive pas à faire le numéro 4
-
Vérifiée par Alloprof
Secondaire 3 • 3aJe ne sais pas ce que correspond le numéro 3
-
Vérifiée par Alloprof
Secondaire 3 • 3aJe ne sais pas quoi faire après cette étape
-
Vérifiée par Alloprof
Secondaire 3 • 3aBonjour! Comment arriver à trouver le volume de ce prisme ? Le cahier me donne 16693,6 cm*3 comme réponse.
-
Vérifiée par Alloprof
Secondaire 3 • 3aBonjour ! Je dois calculer le volume de cette pyramide. Comment pourrais-je faire pour y arriver ? Le livre/corrigé dit que c'est 526,5 dm la réponse.
-
Vérifiée par Alloprof
Primaire 1 • 3aSalu moi vou me connais moi je viens de chine et jai une multiplicsssion a fère. 11x4 sa done koi
-
Vérifiée par Alloprof
Secondaire 1 • 3aJe ne comprend pas ce sujet pouvez-vous m'expliquer
-
Vérifiée par Alloprof
Secondaire 4 • 3aJe ne comprend vraiment pas la reduction d'expression rationelle. malgrer les explication et video avez-vous un truc ?
-
Vérifiée par Alloprof
Secondaire 1 • 3aSalut 👋,
Demain j’ai un examen de mathématique (une grosse situation problème) sur les diagrammes et statistiques, je ne l’avais pas vu et je viens de le savoir.Je sent la mauvaise note.Comment m’aider à étudier et comment faire pour étudier.
Merci et bonne journée
-Une élève très stressé 😰
-
Vérifiée par Alloprof
Secondaire 4 • 3aBonjour, je ne comprends pas pourquoi le 0 est inclus dans le domaine ( pour le c) ) pouvez-vous m’expliquer?
-
Vérifiée par Alloprof
Secondaire 4 • 3abonjour.
je n’arrive pas à résoudre le problème sur la résolution de système du premier degré:
une droite A croise l’axe des abscisses au point 6 et est parallèle à une droite B qui passe par l’origine du plan cartésien et par le point de coordonnées (-2, 6).trouver l’équation de chacune de ces droites.
-
Vérifiée par Alloprof
Secondaire 4 • 3aJe ne suis pas certaine de comment faire ça, quelqu’un pourrait-il m’aider s’il vous plaît?😇
-
Vérifiée par Alloprof
Secondaire 5 • 3abonjour
en sn4 on apprend la partie entière, je ne peux pas résoudre ce problème:
f(2)= -3 [1/2 (2-1)]+6
En fait, je soustrais 6 des deux cotés , mais après je ne suis pas sure.
svp , me dire quoi faire
merci
-
Vérifiée par Alloprof
Secondaire 3 • 3aBonsoir,
Je ne comprends pas vraiment si dans ce digramme de quartiles, la médiane est égale à 9 ou 16 puisque celle-ci n’est pas située dans la boîte. Il y a t-il une façon se savoir quelle est la valeur de la médiane?
Merci et bonne soirée!
-
Vérifiée par Alloprof
Primaire 6 • 3aEst ce que qu'elle qu'un pourrait m'aider pour le périmetre et l'aire parce que je ne comprend pas bien.
Merci!!!
-
Vérifiée par Alloprof
Secondaire 3 • 3aSalut, pouvez-vous m'aider avec mon devoir de maths? J'ai de la difficulté avec le numéro 3 (comment est-ce qu'on trouve le rayon??)Merci
-
Vérifiée par Alloprof
Secondaire 3 • 3aJe comprend pas ce numéro dans mon devoir
-
Vérifiée par Alloprof
Secondaire 2 • 3aBonjour je suis en secondaire 2 et je ne comprends pas le numéro de mon devoir de math Quelqu’un pourrait m’aider?
-
Vérifiée par Alloprof
Secondaire 3 • 3aSalut, pouvez-vous m'aider avec mon devoir de maths? J'ai de la difficulté avec le numéro 3. Merci
-
Vérifiée par Alloprof
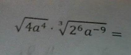
Secondaire 3 • 3aBonjour,
je suis en secondaire 3 et je cherche de l'aide dans les propriétés des exposants lors des racine carrées. Par exemple,merci...
(RÉPONDRE RAPIDEMENT)
-
Vérifiée par Alloprof
Secondaire 1 • 3aMon fils est en secondaire 1 et a un examen sur les statistiques. Ou puis-je trouver des exercices pour le faire pratiquer?
-
Vérifiée par Alloprof
Secondaire 3 • 3aj'ai un exam en math sur le volume demain et j'ai toujours pas compris comment je fais pour convertir l'aire d'un solide en volume (et vice versa) et vus que je trouve pas comment faire nul part je commence a douter de si c'est vraiment possible 💀
donc si quelqu'un veut bien m'aider ce serait nice 😭 😭 merci
-
Vérifiée par Alloprof
Primaire 3 • 3aBonjour a tous !
j’aimerais avoir des truc pour mes addition en colonne car j’ai un peu de difficulté
merci d’avance
-
Vérifiée par Alloprof
Secondaire 3 • 3aComment faisons-nous pour à passer du rapport de similitude des aires et des périmètres?
-
Vérifiée par Alloprof
Primaire 6 • 3aAllo
Avez vous des trucs en math, car j'ai eu un C+ dans une résoudre et normallement j'ai toujours des A donc pouvez me donnez des trucs, car on va bientôt commencer les pratiques du ministère et il y a beaucoup de math.
Merci!
IguanodonHabile7173
Primaire 6
-
Vérifiée par Alloprof
Secondaire 3 • 3aBonjour, comment on peut trouver son périmètre sans utiliser pythagore?Merci
-
Vérifiée par Alloprof
Secondaire 2 • 3aBonjour ,
J'aurais besoin d'aide pour résoudre cette équation qui est :
4 ,1 4 a + 1 = 6a - 12
Merci















