Liste de discussions
-
Vérifiée par Alloprof
Secondaire 4 • 3aBonjour !
J'ai une résolution de situation problème (CD1) bientôt et je me demandais si vous aviez une vidéo ou une fiche explicative qui résume bien la fonction quadratique (paraboles) (SN). J'aimerais bien aussi avoir un exercice de pratique avec un contexte.
Merci beaucoup de votre aide !
-
Vérifiée par Alloprof
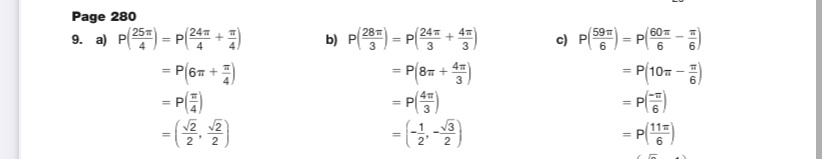
Secondaire 5 • 3aBonjour ! J'ai de la difficulté dans ces 2 questions de math. Pourriez-vous SVP m'aider? Merci !!!
-
Vérifiée par Alloprof
Secondaire 5 • 3aComment, je dis bien -comment-, dois-je déterminer l'ensemble-solution de
cos² x - cos x = 0, si x ∈ [ 0, 3π ] ?
Je veux dire que si je fais par exemple avec
6 cos -4(x + 3π) = 4,8 si x∈ [ -13, -11 ] je comprends. Le problème est que je bloque à cause du cos² et du deuxième cos. Je ne sais pas comment m'y prendre pour isoler l'argument cosinus.
-
Vérifiée par Alloprof
Primaire 6 • 3aBonjour! Je voudrais de l'aide pour ces problèmes de mathématiques. L'un porte sur la température, et l'autre sur les nombres entiers. N'importe quelle aide pour n'importe quel numéro serait appréciée ! Merci. Voici les numéros :
Températures:
- a) Lors d'un voyage de 5 jours, Mikael a profité d'une température moyenne de 22 ℃. Il a fait 19℃ le mardi et le jeudi, puis 28℃ le vendredi. Quelles températures a-t-il fait le lundi et le mercredi?
b) Isabelle, la collègue de Mikael qui était avec lui, a décidé de demeurer sur place 2 jours de plus. Il a fait une température de 26,5 ℃ le samedi, et de 21℃ le dimanche. Quelle est la moyenne des températures ressenties par Isabelle? A-t-elle profité d'une température moyenne plus chaude ou plus froide que Mikael pour son voyage?
Nombres entiers:
2. Claude est à 18m sous l'eau afin d'atteindre une grotte océanique. Il a fait les 2/5 de la distance pour se rendre à la grotte. À quelle distance la grotte se trouve-t-elle?
Merci encore :)
-
Vérifiée par Alloprof
Secondaire 1 • 3aAngles et droites
J’ai une figure qui ressemble à un noeud papillon avec deux triangles scalènes opposés par le sommet. Je connais 1 angle sur chacun des triangle. Je sais que sur le 1er triangle deux côtés sont égaux sans en connaître les mesures. Je n’arrive pas à débuter le problème car il me manque trop d’infos. L’information que les KL = LO est sûrement importante mais je n’arrive pas à la transcrire en info.
-
Vérifiée par Alloprof
Primaire 4 • 3aj aimerais quon m aide avec les fraction équivalente exanple un et demi égal quoi
-
Vérifiée par Alloprof
Secondaire 3 • 3aJ'ai de la misère a développer cette figures D) ? Vous pouvez me donner des trucs pour cette figures ?
-
Vérifiée par Alloprof
Secondaire 3 • 3aA quoi sert les propriétés des fonction, le positive et le negative?
-
Vérifiée par Alloprof
Secondaire 1 • 3aCalculer l'aire d'un Pentagone
-
Vérifiée par Alloprof
Secondaire 4 • 3aC’est quoi la réponse ? Je suis entrain de faire ça pour des heures ( comment en fait ) j’aimerais un explication étape par étape
-
Vérifiée par Alloprof
Secondaire 2 • 3aBonjour ! J’ai un exo de maths à faire, mais je n’arrive pas à développer puis réduire l’expression de la question 1.
Je comprend pas bien non plus la question 2.
Quelqu’un saurait comment les faire ?
merci beaucoup
-
Vérifiée par Alloprof
Secondaire 2 • 3aBonjour,
Je suis en train de faire un problème mathématique que je ne comprends pas très bien et j'aurais un examen sur cette notion. Est-ce que quelqu'un pourrait m'aider, car je ne comprends pas très bien cette notion.
Voici le problème:
Trouve la mesure d'un rayon d'un cylindre, sachant que son aire totale est de 5001,4272 dam au carré et que son hauteur est de 53,33 dam.
-
Vérifiée par Alloprof
Primaire 6 • 3aBonjour vous pouvez m'aider a faire cette exercice
-
Vérifiée par Alloprof
Secondaire 3 • 3aquelqu’un peut m’aider à faire ça svp
-
Vérifiée par Alloprof
Secondaire 2 • 3aPourquoi lorsque mettons on a deux figures avec un rapport de similitude de 2:1 , l’aire de la figure image n’est pas deux fois plus petite ou plus grande que la figure initiale?
-
Vérifiée par Alloprof
Primaire 6 • 3apuis je avoir dex exercices sur pendas ou l'unite pres etc pour m'entrainer merci
-
Vérifiée par Alloprof
Secondaire 4 • 3aBonjour peut on dire que 3/0 = 3 ?
-
Vérifiée par Alloprof
Secondaire 4 • 3abonjour!
je me demandais...
dans un système d'équation de 1er et 2e degré, comment je fais pour savoir si celui-ci à 1, 2, infinité ou aucune solution?
merciii!
-
Vérifiée par Alloprof
Secondaire 5 • 3aDes pêcheurs ont remarqué que le niveau de la mer varie de façon cyclique au cours d’une journée. Voici les renseignements qu’ils ont relevés pour une journée.
- le niveau maximal de la mer est de 3,6m.
- le niveau minimal de la mer est de 2,4m.
- la durée d’un cycle est de 12h.
- le niveau de la mer est minimale 3,5h après le début de la journée. a) tracez le graphique qui représente cette situation.
-
Vérifiée par Alloprof
Primaire 6 • 3aBonjour,
Quesque les plan cartésien et comment bien trouver la réponse. Car j'ai rien trouver sur alloprof. Puis aussi je me demandais pourquoi il est des fois écrie: 0,3 ou autre... 0,3 ????
-
Vérifiée par Alloprof
Secondaire 2 • 3aBonjour! Est-ce que je peux savoir comment on enlève la taxe de 15% du nombre 124,20$
-
Vérifiée par Alloprof
Secondaire 3 • 3aBon jour c est benjamin tu peut me aider avec ce probleme 673 + 478 + 021 mon pere est un peut dur sur moi.
merci.
-
Vérifiée par Alloprof
Secondaire 2 • 3aDans le problème: 4r+6x-4 = 6r-20x+23
quel variable doit-je isoler ?
-
Vérifiée par Alloprof
Secondaire 2 • 3aBonjour,
Je ne comprends pas ce problème de mathématiques. J’ai essayé a plusieurs reprises, mais je ne comprends pas le sens et comment je suis supposer le résoudre. Quelqu’un pourrais me l’expliquer, s’il vous plaît!
Merci beaucoup et bonne journée!
-
Vérifiée par Alloprof
Primaire 3 • 3aque fait 20x21
j'ai chercher vraiment longtemps et je n'ai pas trouver
-
Vérifiée par Alloprof
Secondaire 2 • 3aComment fait t'on pour résoudre ce problème d'algèbre en contexte?
-
Vérifiée par Alloprof
Primaire 4 • 3aJ'ai besoin d'aide pour une multiplication à deux chiffres
ex.: 839x62
merci
-
Vérifiée par Alloprof
Secondaire 5 • 3aj’avais poser une question liée à cet exercice et vous m’avez envoyer un lien pour y mieux comprendre , malheureusement je ne comprend pas la réponse du corrigé que je vous ai envoyer car ce n’est pas la même méthode que la vôtre , pouvez vous expliquer d’où vient ces calculs
-
Vérifiée par Alloprof
Secondaire 5 • 3aBonjour,
J'ai une question concernant la trigonométrie... Je dois démontrer l'identité suivante: sin 3x = 3 sinx -4sin(exposant 3)x. Je ne sais pas par où commencer ou comment. Pouvez-vous m'aider ?
Merci !
-
Vérifiée par Alloprof
Primaire 6 • 3aSalut alloprof,
En effet, je trouve la difficile de ajouter des parenthèses dans une chaîne d'opération et les évaluations commenceront la semaine prochaine. Vous pouvez m'aider?












