Liste de discussions
-
Vérifiée par Alloprof
Secondaire 1 • 3aBonjour j'aurais une question sur un certain module en math.Celui du périmètre et de l'aire je me demendais comment faire pour calculer l'aire d'un carré ou d'un rectangle quand on connais seulement son aire. merci
-
Vérifiée par Alloprof
Secondaire 3 • 3aSalut!
J'ai un peu de difficulté à comprendre les combinaisons.
Merci de votre aide!
-
Vérifiée par Alloprof
Secondaire 3 • 3aSalut!
Pourquoi dans un diagramme de quartile, le premier et le dernier quart ne sont pas dans des boites?
Pourquoi certaines données sont dans le diagramme mais ne sont pas " réelles" ?
Comment on peut associer un diagramme des quartiles à un histogramme?
Merci!
-
Vérifiée par Alloprof
Secondaire 3 • 3aSalut!
Qu'est ce que ça veux dire " Le quartile est une valeur qui ne fait généralement pas partie de la distribution étudiée. "??
Des fois, le quartile est calculé, mais parfois, c'est une valeur réelle, non?
Merci!
-
Vérifiée par Alloprof
Secondaire 1 • 3aje ne comprend pas comment marche l'isométrie et les angles adjacent
-
Vérifiée par Alloprof
Secondaire 4 • 3aBonsoir! Pouvez-vous m’aider avec le A) svp [1ere photo]? pouvez vous m’expliquer les étapes, je ne comprend pas comment c’est une addition. Dans mes notes de cours, l’exemple ressemble à [2e photo] et on peut clairement voir qu’il y a une addition. merci beaucoup!
-
Vérifiée par Alloprof
Secondaire 2 • 3aBonsoir,
Je ne suis pas sur de comprendre comment calculer l'arc d'un cercle correctement.
Pouvez-vous m'aidé svp!
-
Vérifiée par Alloprof
Secondaire 5 • 3aBonsoir,
Dans cet exercice, comment puis-je m'assurer que j'ai bien écrite la règle sous forme canonique?Également, je ne suis pas sûre de savoir comment faire cela, donc pouvez-vous svp me l'expliquer?
Merci et bonne soirée! ;)
-
Vérifiée par Alloprof
Secondaire 5 • 3aBonsoir,
Comment isoler le b dans une fonction (équation) sinus ou cosinus lorsque nous connaissons tout le restant des valeurs, c'est-à-dire a,h,f(x) et k?
Merci et bonne soirée! ;)
-
Vérifiée par Alloprof
Secondaire 1 • 3a144/360 en pourcentage
et
216/360 en pourcentage aussi
Merci :)
-
Vérifiée par Alloprof
Secondaire 4 • 3aje pense que jai fait un erreur? j’arrive pas à trouver la réponse 😩merci pour l’aide c’est vraiment apprécié
-
Vérifiée par Alloprof
Secondaire 4 • 3aBonjour , j’aimerais comprendre qu’elle est la différence entre un minimum/maximum absolu et minimum/maximum relatif .
-
Vérifiée par Alloprof
Secondaire 2 • 3abonjour allo prof j'aimerais que vous m'expliquiez bien ce problème car je ne connais pas grand chose il faut que je calcule la durée du trajet vers Montréal-Toronto en gros il faut que je fasse se problème de math avec les propriété de fonctions et les proportionnalité donc pouvez-vous m'aidez svp
-
Vérifiée par Alloprof
Postsecondaire • 3aBonsoir, j’ai du mal à résoudre un problème: une boîte contient 10 billes vertes, 8 rouges et 6 blanches. Trois sont tirées au hasard. Comment je calcule la probabilité d’obtenir 3 billes de couleur différente?
-
Vérifiée par Alloprof
Secondaire 1 • 3aBonjour j'ai une questions je voudrais avoir des informations supplémentaire sur les fractions en secondaire un Merci!
-
Vérifiée par Alloprof
Secondaire 3 • 3aJe n'arrive pas a trouver le b (ordonné a l'origine)?
Le a (taux de variation) est -1,5
-
Vérifiée par Alloprof
Primaire 4 • 3aC'est quoi un périmètre car demain ma mme le veut que je lui dises c'est quoi un périmètre
-
Vérifiée par Alloprof
Secondaire 1 • 3aC'est quoi un polygone?
Merci :)
-
Vérifiée par Alloprof
Secondaire 4 • 3abjr, jai commencé a faire ce problem mais la javance plus! :( jarrive pas a le finir
-
Vérifiée par Alloprof
Secondaire 4 • 3a14/3 diviser par 7a/b=14/3xb/7a=14b/21b=7x2xb=
--------- =2b/3a
7x3xa
je ne comprend pas la reponse?
pourquoi cest 2b/3a et non 14b/21a?
-
Vérifiée par Alloprof
Secondaire 1 • 3aBonjour, j'aimerai avoir une précision sur la loi des proportions en mathématique ainsi que sur le périmètre algébrique. Merci !
-
Vérifiée par Alloprof
Primaire 4 • 3aBoujour
je voudrais savoir qu'est ce que c'est la propriété des nombres.
-
Vérifiée par Alloprof
Primaire 4 • 3aJ'ai de la difficulté a mémoriser les multiplication...J'aimerais savoir s'il y'a un truc.
Merci de me répondre!
Loulou!
-
Vérifiée par Alloprof
Secondaire 2 • 3aSalut !
J'ai un problème avec un exercice sur le chapitre du cercle
Voici la question :
Quelle est la circonférence d'un cercle dont la plus grande corde est égale à 0,02 km. Arrondi au centième près et utilise πMerci beaucoup
-
Vérifiée par Alloprof
Primaire 5 • 3aBonsoir, j'ai de la difficulté pour arrondir les nombres décimaux. Est-ce qu'il y aurait un truc ?
-
Vérifiée par Alloprof
Secondaire 4 • 3aj’ai besoin d’aide avec les fonction quadratique par exemple forme canonique, forme generale et forme factorisé car je n’ai rien compris et je ne trouve rien pour m’aider sur alloprof
-
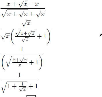
Vérifiée par Alloprof
Secondaire 5 • 3aBonjour,
Malgré que j'ai les corrigé, j'ai tout compris sauf ça. À partir de la 2e étape, je ne comprends pas.
Je crois qu'a cause des racines ça me mélange et je ne sais pas quoi faire.
On peut m'aider?
-
Vérifiée par Alloprof
Primaire 1 • 3amerci
mais le 7x2xb=2b?
pourquoi pas 14b?
-
Vérifiée par Alloprof
Secondaire 3 • 3aJ’ai besoin avec mon exercice de math svp.
-
Vérifiée par Alloprof
Primaire 4 • 3aAvez-vous des devoir sur les régularités et les équations et Modélisation et algèbre .










