Liste de discussions
-
Vérifiée par Alloprof
Secondaire 2 • 3aJe comprends rien en résolution de problèmes algébriques. À l'aide!
-
Vérifiée par Alloprof
Primaire 5 • 3abonjour que fait 2+2 svp.
-
Vérifiée par Alloprof
Secondaire 2 • 3aBesoin d excercise de revision en algèbre j ai beau regarder vos video cela me mélange merci
-
Vérifiée par Alloprof
Secondaire 4 • 3acomment je fais cette equation diviser 14/3par 7a/b pour trouver le rapport?
-
Vérifiée par Alloprof
Secondaire 4 • 3aDonc j’ai ce modèle de calculatrice et je souhaite faire ce calcul, mais je ne sais vraiment pas comment le taper même ma professeur l’ignore. B^2= 40^2 •8^2-2•40•8 Cos 50 pouvez-vous me donner les étapes précises pour le taper?
-
Vérifiée par Alloprof
Secondaire 4 • 3aallo qlqn peut maider svp? 😩😩
-
Vérifiée par Alloprof
Secondaire 4 • 3aEst-ce que vous pourriez m’aider avec ce problème svp?
-
Vérifiée par Alloprof
Primaire 1 • 3apendant que je jouer a meteorie maths, tout a coup, je me suis demander quelque chose. qui a inventer les mathemathiques? 1 ou plusieurs perssonnes? t avec quoi ca a ete comencee??? svp j'aimerais des explications sur ce sujet. merci!!!!!! oh et aussi , qui a invenntee les machines simples???
:)
-
Vérifiée par Alloprof
Postsecondaire • 3a5. L’achat de la maison e ses rêves.
En 2006, Malika a achetéla maison de ses rêves.
Elle a choisi une hypothèque à taux fixe pour
une périodede 5 années.Elle rembourse
un montant de 412,25 $ à chaque mois
durant cette période.En 2011, elle a renouvelé
son hypothèque pour une autre période
de 5 années.Elle a profitéde la baisse des taux
d’intérêt.Son remboursement mensuel
a diminuéde 48,94 $
-
Vérifiée par Alloprof
Secondaire 3 • 3aJ’ai besoin d’aide pour résoudre une inéquation ( 3x-4>8)
-
Vérifiée par Alloprof
Secondaire 3 • 3aSalut!
Comment je peux trouver x?
Je sais pas si ça peux aider mais le rapport des volumes sur le rapport des aires ne doit pas dépasser 15.Mercii !
-
Vérifiée par Alloprof
Secondaire 4 • 3aDonc j’ai ce modèle de calculatrice et je souhaite faire ce calcul, mais je ne sais vraiment pas comment le taper même ma professeur l’ignore. B^2= 40^2 •8^2-2•40•8 Cos B pouvez-vous me donner les étapes précises pour le taper?
-
Vérifiée par Alloprof
Primaire 2 • 3aBonjour mon enfant se trouve en mathématiques de deuxième année de primaire et il a un défi à relever mais je ne peux pas l’aider puisque moi-même en tant que parent je ne comprends même pas donc voilà je vous explique c’est une mise en situation pour trouver le nombre mystère les indices sont les suivants le nombre mystère est plus grand que 300 il est plus petit que 500 ce nombre ne contient pas les chiffres quatre et cinq la somme de ces chiffres est cinq et pour finir dans ce nombre un même chiffre est répété deux fois !!!!! Je pense que la somme de ces chiffres est cinq c’est l’indice qui me bloque le plus puisque je ne comprends pas du tout !!! Merci
-
Vérifiée par Alloprof
Secondaire 5 • 3aBonjour je suis de retour a l'école et j'ai beaucoup de misère avec mes math de secondaire 5 ...
Mon livre est sur optimisation en contexte général .. Quelqu'un est la dedans et peux m'aider ? 😔
-
Vérifiée par Alloprof
Primaire 4 • 3ajes vrement de la misaire avec des multiplication pouver vous meder svp merci bcp de votre colaboration
-
Vérifiée par Alloprof
Primaire 6 • 3aBonjour tout le monde! En fait, je voulais demander comment on décompose les nombres en utilisant les puissance de 10. Je dois faire un numéro là-dessus (ce n'est pas un examen) mais je ne le comprend pas. Pouvez-vous m'aider?
-
Vérifiée par Alloprof
Secondaire 3 • 3aSalut!
Comment je suis sensé trouver le volume de cette figure????
Est ce qu'il me faudrait l'apothème de la base de la pyramide? Parce que le volume d'une pyramide c'est ((aire de la base x hauteur)/3) et que l'aire de la base de cette pyramide c'est ((mesure d'un côté x apothème x nombre de côtés)/2).Merci!
-
Vérifiée par Alloprof
Secondaire 2 • 3aQuelle est la valeur du X
5x + x (le tout divisé par 3) = 3822$
-
Vérifiée par Alloprof
Primaire 4 • 3abonjour je ne comprend pas ce problem, quelqu’en peut m’aider svp?😩
-
Vérifiée par Alloprof
Secondaire 3 • 3aJ’ai un exercice de math et je dois trouver f(x). Mes infos sont à partir d’une droite illustrée dans un tableau: a = 5-1/7-(-7) ou (1,-7) et (5,7). Je me souviens comment trouver la variation, mais pas f(x). Est-ce possible de m’aider? Je dois revoir ma notion en détails pour bien comprendre si possible.
J’ai regardé des vidéos sur le web, mais je ne les comprends pas en fonction de mon problème. Merci
-
Vérifiée par Alloprof
Secondaire 4 • 3acomment appliquer le théorème de la projection de la cathète sur l'hypoténuse avec une formule algébrique plutôt qu'un nombre entier
-
Vérifiée par Alloprof
Secondaire 4 • 3aSa donne combien x-(1/x)
j’ai trouvé (x-1)
-
Vérifiée par Alloprof
Secondaire 5 • 3aQu'est-ce que je devrais faire d'ici?
-
Vérifiée par Alloprof
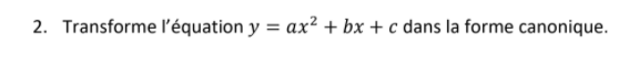
Secondaire 4 • 3aBonsoir,
Voici la table de valeurs d'une fonction quadratique.Quelle est la valeur du paramètre "a" dans la règle exprimée sous la forme canonique?
Ma réponse est que le paramètre "a" vaut 1/3. Mais le corrigé du manuel (Intersection Manuel A, Éditions Chenelière, p. 137) m'indique que "a" vaut 2/3...
J'aurais besoin d'aide pour trouver mon erreur.
Merci!
-
Vérifiée par Alloprof
Secondaire 3 • 3aBonsoir !
Je suis en secondaire 3 et bientôt je vais devoir faire le choix entre les mathématiques TS ou SN. Je sais que l'on apprend la même matière, mais de façon différente, pourtant j'aimerais savoir comment les exercices faits en SN diffèrent de ceux en TS et à quoi ils ressemblent.
Merci beaucoup pour votre aide
-ChloreOmicron2428
-
Vérifiée par Alloprof
Primaire 5 • 3ase quoi un division conventionnelle
-
Vérifiée par Alloprof
Secondaire 1 • 3abonjour, je ne comprend pas comment faire des chaines d'opérations avec fraction, pourcentage, exposants et fraction négative. avez-vous des exercices a me conseiller ?
Merci et bonne soirée.
-
Vérifiée par Alloprof
Secondaire 3 • 3aComment fais-t-on 2/3 exposant -1?
-
Vérifiée par Alloprof
Secondaire 2 • 3aComment fait-on pour calculer l'aire de ses figures?
-
Vérifiée par Alloprof
Primaire 4 • 3aDans météoremap2 comment peu ton mettre
tout les division :)











