Liste de discussions
-
Vérifiée par Alloprof
Secondaire 3 • 3aHello!! J'ai une mise en situation qui me donne de la misère et j'aimerais beaucoup avoir de l'aide svp. Voici le problème.
-
Vérifiée par Alloprof
Secondaire 3 • 3aJe n'arrive pas a soulver cette exercice
-
Vérifiée par Alloprof
Secondaire 3 • 3aSalut!
Je n'arrive pas à faire cet exercice là.Merci beacoup!!
-
Vérifiée par Alloprof
Secondaire 5 • 3aBonjour,
Comment on faisait pour calculer un nbr x à la une fraction négative?
Exemple mon prof nous a dit qu'on ait capable de faire 8 à la -2 tier sans calculatrice.
-
Vérifiée par Alloprof
Secondaire 5 • 3aJe n’arrive pas a résoudre ce problème.
-
Vérifiée par Alloprof
Secondaire 1 • 3aJe ne sais pas comment transformer une notation décimale en notation fractionnaire et vice-versa.
-
Vérifiée par Alloprof
Secondaire 5 • 3aBonsoir, est ce que on pourrait m'expliquer comment comment faire les angles de référence svp? Merci!
-
Vérifiée par Alloprof
Secondaire 4 • 3aAvec la méthode de comparaison pour trouver le croisement de deux droite. Que donne 3x-1 et (moin un sur trois)-1_3x+9. Merci d’avance.
-
Vérifiée par Alloprof
Secondaire 1 • 3aJe sais pas comment résoudre l’aire dans des figures vraiment complexes
-
Vérifiée par Alloprof
Secondaire 3 • 3aCoucou! Je ne comprend pas cette problème, pourriez-vous m’aider svp? (C’est en rapport avec les équation)
-
Vérifiée par Alloprof
Primaire 4 • 3aBonjour alloprof je voulais savoir pourquoi mon argent dans fin lapin 3 c'est écrit -8 et je ne peux pas acheter de chose
-
Vérifiée par Alloprof
Secondaire 2 • 3aBonjour
J’ai vraiment de difficulté sur cet problem.Je ne sais pas si pour l’expression algébrique le partie mauve claire ou bleue c’est la réponse.Je comprend pas comment le trouver mais j’ai essayé
-
Vérifiée par Alloprof
Secondaire 1 • 3aBonjour Alloprof,
Je sais que le nombre de côté est équivalent au nombre d’axes de symétrie (Géométrie) mais est-ce que toutes les formes ont des axes de symétrie je veux dire par exemple si le polygone est irrégulier est a 23 côté est ce qu’il aura 23 axes de symétrie.
-
Vérifiée par Alloprof
Secondaire 5 • 3aBonjourr pouvez-vous m'aider pour cette question svp !!!!!
Dans le fond sa dit : Un cycliste roule à une vitesse de 36km/h. Sa roue a un rayon de 40cm. De combien de radians sa roue tourne-t-elle chaque seconde?
Je ne sais pas trop comment faire... Est-ce que le 36km/h correspond à la circonférence du cercle? Comment est-ce que je dois faire pour trouver le nombre de radians?
-
Vérifiée par Alloprof
Secondaire 4 • 3aBonjour! Pouvez-vous m’aider avec cette question svp?
(36x^3 - 408x^2 + 1221x - 363) ÷ (4x^2 - 44x + 121)
La réponse est 9x - 3, mais je n’arrive pas à trouver le -3, j’ai seulement réussi à trouver le 9x.
Merci beaucoup!
-
Vérifiée par Alloprof
Secondaire 4 • 3aBonjour! J’ai vraiment besoin d’aide avec ces deux numéros. J’ai essayé de comprendre à l’aide du corrigé, mais je ne comprends pas plus. Est-ce que vous pouvez-vous m’expliquer les démarches svp? Merci beaucoup! (manipulations algébriques)
Voici les deux questions:Voici le corrigé:
-
Vérifiée par Alloprof
Secondaire 5 • 3aBonjour,
je ne comprends pas comment résoudre ce problème. Je ne comprends pas la réponse du corrigée: (-b, -a).
Merci!
-
Vérifiée par Alloprof
Secondaire 2 • 3aBonjour je ne comprends pas ce problème. Je n'arrive pas à calculer le périmètre. Merci de m'aider
-
Vérifiée par Alloprof
Secondaire 5 • 3aBonjour, est ce que on pourrait m'expliquer comment faire ce numéro 16 svp? Merci!
-
Vérifiée par Alloprof
Secondaire 5 • 3aBonjour, je ne comprends pas l'exercice 18.
-
Vérifiée par Alloprof
Secondaire 3 • 3aJe ne comprends pas pourquoi la réponse est faux ? Tu pourrais expliqué pourquoi cette réponse est faux ? Je ne comprends pas le numéros D) ? je suis dans le numéros 3.
-
Vérifiée par Alloprof
Secondaire 4 • 3aSalut! Je suis présentement en train de réviser en vue d’un examen de math et quelques questions me sont apparus dans ma révisions les voici…
Dans quelques numéros de mes exercices de révisions ils m’est demandé de factorisée un polynôme de degré deux cependant le a de celui est négatif et je ne sais pas trop quoi faire….
(Exemple avec inéquation voir en haut)
Aussi dans mes notes de cours j’ai trouvé ce problème mais le truc c’est que je ne comprends pas d’où sort le b+4
Finalement est ce vrai que dans cette inéquation le paramètre a de la règle si je ne me trompe pas est le 2x?Merci à l’avance je sus vraiment désolé du grand nombre de questions et de ma claireté qui laisse à désirer 😅
-
Vérifiée par Alloprof
Secondaire 2 • 3aJ'ai pas bien compris cette question.
-
Vérifiée par Alloprof
Secondaire 3 • 3aJe ne comprends pas pourquoi la réponse du numéros G est Q égale nombre Rationnels? Tu peux explique pourquoi la réponse est un nombre rationnels au numéros G dans le numéros 2 a la page 26.
-
Vérifiée par Alloprof
Secondaire 3 • 3aJe ne comprends pas pourquoi le numéros a) ont ne peut pas mettre un nombre entier dans ce numéros? je suis en train de faire se numéros à la page 26. J'ai besoin d'explication dans ce numéros. Je suis a la page 26 et j'ai pas compris A) Bonne après-midi.
-
Vérifiée par Alloprof
Secondaire 4 • 3aBonjour je ne suis pas capable de résoudre se problème est ce que quelqu’un serais capable de me le résoudre en me l’expliquant
-
Vérifiée par Alloprof
Secondaire 2 • 3aBonjour
j’ai un travail en math mais je ne comprend pas comment faire les expressions algébrique.J’aimerais que vous m’expliquiez comment je puise trouver comment faire l’expression algébrique car je crois pas que j’ai fais le bon affaireMerci
-
Vérifiée par Alloprof
Secondaire 5 • 3aBonjour,
J'ai une question sur cette situation problème et j'aimerais beaucoup votre aide. Merci. Voici la situation, c'est sur les fonction valeurs absolues :
Afin de clore le festival en beauté, un représentant de chaque pays est passé devant la foule sur la piste principale à une vitesse constante. Les pilotes s’en sont donné à cœur joie, car le Red Arrow a filé à 500 km/h, le Thunderbird s’est permis une virée à 700 km/h, et le Snowbird, plus modeste, est passé à 85 m/s. Des étudiants et étudiantes de l’Université Laval ont décidé de filmer cette parade afin d’analyser les comportements des engins en fonction de leur vitesse. C’est dans la tour de contrôle, située vis-à-vis le centre de la piste principale longue de 1500 m, qu’on a placé une caméra pour immortaliser le tout. La captation vidéo s’est faite d’un bout à l’autre de la piste. Selon les paramètres de distance et de temps, ces petites merveilles de la technologie captent tous les moments inoubliables sans perdre une seconde d’action.
Ces étudiants et étudiantes aimeraient superposer les trois captations vidéo pour comparer directement les différences de comportement. De plus, ils et elles voudraient prendre un cliché instantané au moment où les trois avions seront les plus visibles sur cette superposition, donc le plus près possible de la tour de contrôle, afin d’utiliser cette prise de vue pour annoncer leur film.
Votre tâche
Vous devez remettre un compte rendu du spectacle aux étudiants et étudiantes de l’Université Laval qui comporte divers modes de représentation. Votre compte rendu devra décrire les caractéristiques de vol de chaque avion du début à la fin de la piste et indiquer le moment où la meilleure prise de vue se produira.
Merci énormément pour votre aide.
-
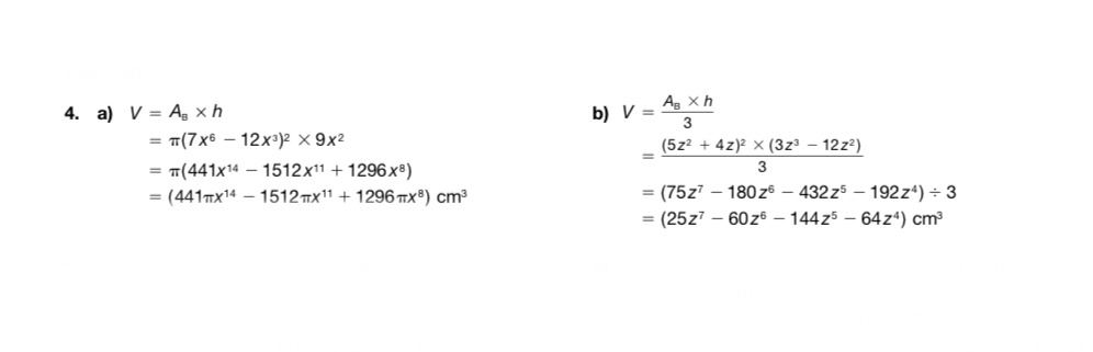
Vérifiée par Alloprof
Secondaire 3 • 3aSalut , Est-ce-que mes calcul sont bon ?Je suis en se moment en train de faire des ensemble de nombre .
-
Vérifiée par Alloprof
Secondaire 4 • 3aje ne comprend pas comment faire les parties entières (la recherche du x) par exemple:
-[-x] = -1





















