Liste de discussions
-
Vérifiée par Alloprof
Primaire 6 • 3aje ne comprend pas l'associativite,la commutativite et la distributivite. C'est un peu melangeant pour moi...
Est-ce que quelqu'un peut m'aider?
Merci
-
Vérifiée par Alloprof
Secondaire 2 • 3aquelqun peut mexpliquer ou me donner la reponse de y-5 demain jai un examen de math sur des trucs comme sa et jaimerais comprendre merci. :)
-
Vérifiée par Alloprof
Secondaire 4 • 3aBon soir! Je ne sais pas comment écrire une équation sous forme générale comme dans le numéro 2(2… Est ce que quelqu’un pourrait m’aider avec ça?
merci d’avance!
-
Vérifiée par Alloprof
Primaire 5 • 3acomment arrondir des nombre decimaux?
-
Vérifiée par Alloprof
Secondaire 2 • 3aBonjour, en algèbre, je ne sais pas comment calculer l'aire d'une figure. EX: un rectangle
4x-8 largeur
2x+5 hauteur
Comment dois-je m'y prendre?
-
Vérifiée par Alloprof
Secondaire 1 • 3aJe ne comprends se qu’il me demande dans cette question.
-
Vérifiée par Alloprof
Secondaire 3 • 3aBonjour! J'ai besoin d'aide dans sommet page 150-151 s'il vous plaît. J'ai commencé mais je suis bloquer et confuse à comment chercher la règle. MERCI!
-
Vérifiée par Alloprof
Secondaire 1 • 3aSALUT! jaimerais savoir comment différentier les médiane des médiatrice des hauteurs des biscectrisse:) je ne suis pas capable :( je n`arrive juste pas a m`en rappeler ni a trouver des trucs pour m`en rappeler
-
Vérifiée par Alloprof
Secondaire 1 • 3aComment faire la division suivante:
-2,3585 divisé par 5
Ma fille arrive à se rendre à
23585 divisé par 50000
Mais ne sait pas comment diviser un chiffre plus petit par un plus gros.
-
Vérifiée par Alloprof
Postsecondaire • 3aBonjour j'écris pour faire suite à cette question:https://www.alloprof.qc.ca/zonedentraide/discussion/19102/question/p1J'ai essayé d’insérer une équation en latex en l'entourant de $ et ça ne me semble pas avoir marché. Est-ce que ce serait possible de vérifier si c'est moi qui se trompe ou d'ajouter la fonctionnalité pour les utilisateurs normaux?
Petit essai encore vu que j'ai justement un document latex d'ouvert, cette fois contenant plus d'opérations juste pour le fun:
$D=\{(x,y)\;|\;-\sqrt{4-y}\le x\le \sqrt{4-y},\;1\le y\le 4\}$
-
Vérifiée par Alloprof
Primaire 5 • 3ay a t'il une fiche sur la moyenne je ne la trouve pas ???
si oui pouver vous me donner le lien ???
-
Vérifiée par Alloprof
Secondaire 4 • 3aEst-ce que je dois faire un tableau, si oui comment? si non, je comprends pas ce question. Merci!
-
Vérifiée par Alloprof
Primaire 5 • 3aBonjour, j'ai de la difficulté a faire des multiplications rapidement est ce quelqu'un aurait des trucs a me proposer pour la ta ble du 6,7,8.
-
Vérifiée par Alloprof
Secondaire 2 • 3aBonjour, ma question porte sur les notions d’algèbre. Comment calculer lorsque nous avons des demies? Ma fille est bloquée
-
Vérifiée par Alloprof
Secondaire 5 • 3aBonjour, j'ai besoin de calculer l'écart type de 25 données mais je n'arrive pas à la bonne réponse. Les nombres sont 1389.91; 1584.89; 1689.94; 1810.63; 1907.76; 1472.17; 1641.26; 1719.67; 1860.17; 1963.81; 1495.11; 1644.10; 1720.08; 1865.15; 1976.69; 1528.03; 1661.30; 1751.76; 1874.20; 1981.43; 1558.19; 1663.92; 1759.52; 1877.38; 2130.79. Je sais que la réponse est 183.52 mais j'arrive à 363.58.
-
Vérifiée par Alloprof
Primaire 5 • 3aj'aimerais avoir une fiche alloprof a imprimer sur la divistion a un chiffre
-
Vérifiée par Alloprof
Primaire 3 • 3abonjour bon après midi tout le monde jai une question a vous pauser est ce quon peut modifier la vittesse du jeu de fin lapin 3
-
Vérifiée par Alloprof
Secondaire 3 • 3aSalut,
j'ai une questions à propos du théorème de Pythagore. Quelle est la formule et comment trouvé l'hypoténuse d'un triangle.
-
Vérifiée par Alloprof
Secondaire 3 • 3aLa question 5 je ne sais pas comment on fait la démarche pour trouver la solution. Le numéro 6 b je ne trouve pas le x et le y, à quoi il correspondent et le comment on fait la démarche pour trouver la solution
-
Vérifiée par Alloprof
Secondaire 3 • 3aJe ne sais pas comment faire la demarche
-
Vérifiée par Alloprof
Secondaire 3 • 3a2/5a -9=4 comment je fait pour avoir la valeur de (a) je ne comprend pas comment avoir la valeurs de ma variable
-
Vérifiée par Alloprof
Secondaire 4 • 3aBonjour! Je ne comprends pas cette question qui est dans mon cahier, je suis en secondaire 4 et je ne comprends pas… pouvez vous m’aider?
-
Vérifiée par Alloprof
Secondaire 4 • 3aBonjour, je ne comprends pas cette question de mon cahier en mathématiques secondaire 4, pouvez vous maider??? 😩Merci
-
Vérifiée par Alloprof
Secondaire 4 • 3aUne partie de ringuette est disputée devant 300 personnes. Il y a trois fois plus de spectateurs que de spectatrices, si x correspond au nb de spectateurs et y au spectatrices, quel est le nombre de spectateurs et spectatrices qui assiste a cette partie?
-
Vérifiée par Alloprof
Primaire 6 • 3aComment simplifier un résultat après l'adition de 2 fractions?
-
Vérifiée par Alloprof
Secondaire 3 • 3aSalut!
J'ai essayé cet exercice de calcul de l'aire totale d'une pyramide régulière à base carrée, mais un de mes chiffre ( celui barré en rouge ), n'est pas le bon.
Merci!
-
Vérifiée par Alloprof
Secondaire 5 • 3aBonjour, je fais les math fortes de secondaire 5 et je dois trouver des points d'intersections entre une droite et une conique, ou bien entre une parabole et une autre conique. Lorsque je dois résoudre cela de manière algébrique sans faire de représentation graphique, je ne comprends pas comment savoir s'il y a 1, 2, 3, ou 4 points d'intersection.
Pouvez-vous m'aider?
-
Vérifiée par Alloprof
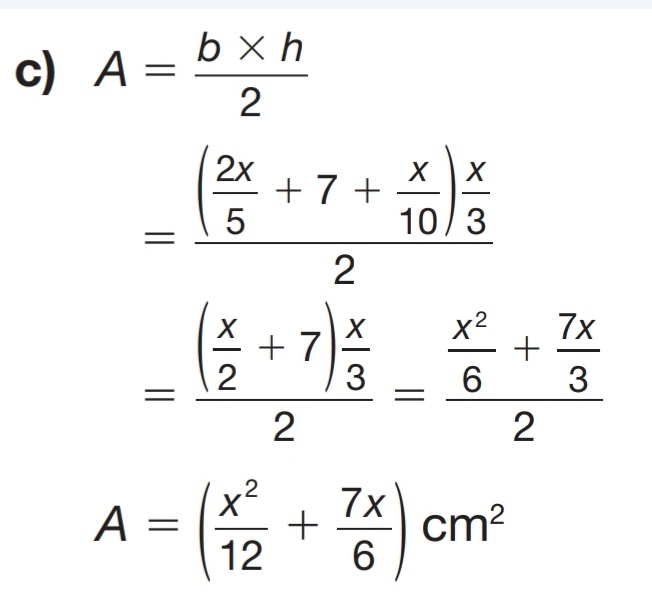
Secondaire 3 • 3aSalut!
J'ai essayé cet exercice de calcul d'aire, mais je n'arrive pas à la même réponse que le corrigé. Pourquoi?
Merci beaucoup!
Mon calcul:La réponse du corrigé:
-
Vérifiée par Alloprof
Secondaire 3 • 3aLa question est : trouve la fonction linéaire. Donne ensuite l’image de -4
-
Vérifiée par Alloprof
Secondaire 1 • 3aSalut, j'ai besoin d'aide pour un devoir de math, en fait mon prof de math ma donner un devoir car j'ai donner la réponse, mais pas la démarche, mais le problème est que, je ne sais pas comment faire ma démarche! Un peu d'aide svp? (Le numéroA est un exemple de la prof) C'est des suites arithmétique
















