Liste de discussions
-
Vérifiée par Alloprof
Secondaire 4 • 4ajai de la difficulté à comprendre cette matière chu bloque je ne suis même pas sûr que mes calculs soit correct
-
Vérifiée par Alloprof
Secondaire 3 • 4aAllô!! Je ne comprends pas comment trouver le "b" dans la situation ici présente. Merci de m'aider :)
-
Vérifiée par Alloprof
Secondaire 3 • 4aJe ne comprend pas ce numéro quelqu’un peux m’aider svp 🙏🏻
-
Vérifiée par Alloprof
Secondaire 3 • 4aBonjour.
J'aurrais besoin d'aide pour savoir le c dans pytagore fait conbien si vous aurriez pas des petits astuces
Merci !
-
Vérifiée par Alloprof
Secondaire 4 • 4aComment je fais pour savoir qu’il faut que je fasse une mise en évidence au début de l’équation?
-
Vérifiée par Alloprof
Primaire 5 • 4acomment on fait pour calculer vraiment vite
-
Vérifiée par Alloprof
Postsecondaire • 4aBonjour, je dois résoudre cette équation et je n'y arrive pas du tout! Quelqu'un peut m'aider ? Je suis de l'université en complément de mathématique.
-
Vérifiée par Alloprof
Primaire 3 • 4aDans fin lapin, pour aller au monde de la plage, faut-il avoir 100% à tout?
-
Vérifiée par Alloprof
Secondaire 5 • 4aAllô, je n'arrive pas à comprendre mon erreur en maths sur la fonction en escalier. Voici mon problème, mon calcul et la bonne réponse du corrigé. Est-ce que quelqu'un peut m'aider?
merci
-
Vérifiée par Alloprof
Secondaire 1 • 4aBonjour, je comprends pas d'où sortent le 2 et le moins 3 que j'ai souligné
-
Vérifiée par Alloprof
Primaire 1 • 4aBonjour :)
(Ça c'est pour ma petite soeur)
Si tu veux faire une addition (+) mais les nombres n'entre pas dans 10, qu'est-ce que tu fais?
Ex: 7 + 4
C'est plus que 10 alors qu'est-ce que je dois faire??
-Kiana
-
Vérifiée par Alloprof
Primaire 6 • 4aBoooooonjour =)
Est-ce que c'est normal que je suis vraiment mal dans les problèmes? Je suis bon dans les choses qu'on doit utiliser pour résoudre la problème mais si tu dis par example;
"Olivier a 0 oeufs. Son voisin a 1 oeuf plus que lui. Combien d'oeufs est-ce que le voisin d'Olivier a?" (Je sais que c'est vraiment simple mais c'est une example!)
-Mon cerveau arrête de marcher immédiatement.
Est-ce qu'il y a une façon d'améliorer??
-
Vérifiée par Alloprof
Secondaire 4 • 4aBonjour, je n’est pas bien compris comment trouver la bonne réponse. Pouvez vous m’aider svp. Merci
-
Vérifiée par Alloprof
Secondaire 5 • 4aBonjour,
1)Pour cette question, voici ce que j’ai trouvé. Mais pourtant dans le corrigé les réponse sont négative et non positive. Savez-vous pourquoi elles sont négative?
2)Pour cette question j’ai recopié du corrigé mais je n’arrive toujours pas à savoir comment ils l’ont développé surtout avec le « a », je ne sais pas comment ils l’ont mis au carré pouvez-vous me l’expliquer?
Merci d’avance et passe une belle soirée!
-
Vérifiée par Alloprof
Secondaire 1 • 4aSalut! Laura A
Si je comprend bien, l'angle 212, il faut le soustraire de 180 à partir du rapporteur. Ce qui donne 32. Mer-
ci pour l'information.
-
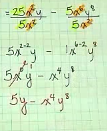
Vérifiée par Alloprof
Secondaire 3 • 4aJe n'ai pas compris la réponse. On ne soustraît pas le 5y et y^8? Pour donner la réponse 4y^-7 - x^4?
-
Vérifiée par Alloprof
Primaire 5 • 4aJe dois répondre à la question suivante
J'ai 4 côtés. Je n'ai pas de droites parallèles ni de droites perpendiculaires. Je sais que c'est un quadrilatère mais lequel?
-
Vérifiée par Alloprof
Secondaire 3 • 4aPourquoi un journalise qui demande une opinion par échantillionement ne devrait pas tirer des intentions de vote a tout le monde. (jai chercher partout et je ne comprend pas)
-
Vérifiée par Alloprof
Secondaire 2 • 4aJE COMPREND PAS D AGEBRE
-
Vérifiée par Alloprof
Primaire 5 • 4abonjour! jai essaiyer de jouer a finlapin3 et sa n'a pas marcher je ne sais pas ci c'est un bogue mais peu tu le reparer svp?
-
Vérifiée par Alloprof
Secondaire 5 • 4aOn installe, au bord d’une piscine municipale, une estrade pour les spectateurs d’une compétition de natation. Si on prévoit asseoir 11 spectateurs par banc, 3 d’entre eux devront rester debout. Par ailleurs, si on prévoit 12 spectateurs par banc, il restera 2 places libres. Combien de bancs l’estrade compte-t-elle et combien de spectateurs y a-t-il ?
Y: nombre de spectateurs
Y= 11x+3
X : nombre de bancs
X = (y+2)÷12
Combinaison des deux équations :
X=[(11x+3)+2]÷12 = 5 bancs
Y = (11×5)+3 = 58 spectateurs
-
Vérifiée par Alloprof
Primaire 3 • 4apouvez vous me dire tout sur les angles
-
Vérifiée par Alloprof
Primaire 5 • 4aBonjour J'essaie d'utiliser météormath2, mais voici la page sur laquelle j'arrive à chaque fois. Savez-vous ce que je dois faire ?
Merci d'avance
-
Vérifiée par Alloprof
Secondaire 4 • 4aBonjour est- ce que c'Est possible de calculer l'angle de dépression d'un triangle si on a l'angle d'élévation?
Je suis pas certaine que ma question fasse du sens!!Je ne comprend pas comment dans cet exercice on a trouver la m<OPD
-
Vérifiée par Alloprof
Primaire 6 • 4aBonjour j'aimerais savoir c'est quoi la différence entre un triangle rectangle isocèle et triangle rectangle scalène et si vous avez des exercice pour sa pourriez-vous m'en envoyer svp
-
Vérifiée par Alloprof
Primaire 2 • 4aque fait 8 foix 7
-
Vérifiée par Alloprof
Primaire 4 • 4apour quoi mes math marche pas
-
Vérifiée par Alloprof
Secondaire 4 • 4aAllô, j'aurais besoin d'explications et d'aide pour ce problème merci
-
Vérifiée par Alloprof
Secondaire 4 • 4aBonjour!
Je révise pour un quiz de mathématique sur la lois des sinus et des cosinus et il y a quelque chose que je comprends pas vraiment à propos des côtés adjacents, opposés et l'hypoténuse.
Est il possible qu'un côté opposé d'un autre soit aussi son hypoténuse? Si oui, quelle formule utiliser et, si non, comment trouverait-on le bon côté opposé?
C'était dans mon devoir donc j'ai attaché un photo pour être plus précise;- (#23, A) c'est en relation avec la droite BC de rapport à la droite AB. Si possible, pourriez vous aussi préciser quelle est son adjacente?
Merci beaucoup !
-
Vérifiée par Alloprof
Secondaire 3 • 4aC'est quoi un échantillion ( collecte de donné) et qu'arrivent t-il losque des personne on une chance d'etre choisit par l'echantillon

















