Liste de discussions
-
Vérifiée par Alloprof
Secondaire 5 • 2aBonjour, je ne comprend pas mon erreur
-
Vérifiée par Alloprof
Secondaire 5 • 2aBonjour, je ne comprend pas mon erreur
-
Vérifiée par Alloprof
Secondaire 4 • 2abonjour je voudrais savoir si vous pouvez me trouver des exercices sur la notation fonctionnelle.
-
Vérifiée par Alloprof
Secondaire 3 • 2acombien il y a de zéro dans gogolplex
-
Vérifiée par Alloprof
Secondaire 1 • 2aSi la somme de deux nombres est egal a 115 et que leur difference est de 59 comment ont fait pour les trouver???
-
Vérifiée par Alloprof
Secondaire 1 • 2aBonjour,
nous devons répondre à la question, combien il y a de nombre naturel forme de 3 chiffres? voici ce que je pense faire:
1- la possibilité est entre 100 et 999.
si je met 100 et 200 sur une droite numérique:
2- entre 100 et 200 il y a 101 nombres
201-300: il y a 100
301-400: il y a 100
401-500: il y 100
501-600: il y a 100
601-700; il y a 100
701-800: il y a 100
801-900: il y a 100
901-999: il y a 99
donc total de n’ombres naturels à 3 chiffres est 900.
c’est ça? Merci😀
-
Vérifiée par Alloprof
Secondaire 4 • 2aComment on fait lorsqu'on cherche le point d'arrivée et que l'on connait le point de départ et un autre point? Voici la question :
On part du point E(12,46) pour aller jusqu'au point F. Après avoir franchi les 2/9 du trajet EF, on est au point P(16,34). Quelles sont les coordonnées du point d'arrivée F?
-
Vérifiée par Alloprof
Secondaire 1 • 2aallo quelle l'ensemble de nombre supérieur a 62 et inférieur a 63
-
Vérifiée par Alloprof
Secondaire 5 • 2aQu’est-ce qui faut faire avec le +1 pour que sa donne un seul logarithmique ?
-
Vérifiée par Alloprof
Secondaire 1 • 2aHi!! I don't get number 12. Can you help me? Thank you!
-
Vérifiée par Alloprof
Secondaire 1 • 2aHi, how are you? I would like some help for number 11 questions b and c. Could you help me please.
-
Vérifiée par Alloprof
Secondaire 1 • 2aI don't get number 9. Can you help please Can you also give a example.
-
Vérifiée par Alloprof
Secondaire 5 • 2aBonjour, je comprends ce numéro, mais je ne comprends pas la démarche apres lorsqu'on met tout égale à zéro, et pourquoi on met tous sur 18. Merci
-
Vérifiée par Alloprof
Secondaire 4 • 2aBonjour Allôprof !! Est-ce que si le point P partage le segment CD dans un rapport de 3:1 à partir de D la fraction est 1/4? Merci!! ( je parle du c) au numéro 2)
-
Vérifiée par Alloprof
Secondaire 1 • 2aSalut est ce que 758 diviser par 14=presque égal a 54,1428... ?
Merci
-
Vérifiée par Alloprof
Secondaire 1 • 2aBonjour est ce que quelqu'un pourrait m'expliquer c'est deux symboles ci-dessous. S.v.p.Merci
-
Vérifiée par Alloprof
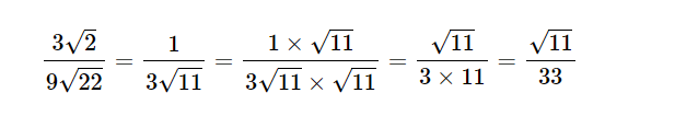
Secondaire 5 • 2aSalutje ne comprend pas cette simplification ?
moi j ai fait que
3racine2 / 9racine22 = ( 3racine2 * racine22 )/198 = 6racine11 / 3racine22 = 2racine11 / racine22
-
Vérifiée par Alloprof
Primaire 6 • 2aMais c'est quoi 75 centaines de kg
-
Vérifiée par Alloprof
Primaire 6 • 2aAllo j’ai une urgence ! Je dois faire un devoir pour lundi 11 septembre. Je suis dans un école où on utilise les électroniques et on a fait notre premier examen en maths sur l’iPad. Maintenant, mon devoir, c’est de dire mes erreurs dans mes erreurs. Je ne comprends pas mon erreur dans cet exercice et pourquoi j’ai perdu 2 points :Merci beaucoup à la première personne qui m’aidera avant le 11 septembre !
-
Vérifiée par Alloprof
Secondaire 1 • 2aBonjour,
nous devons répondre à la question, combien il y a de nombre naturel forme de 3 chiffres? voici ce que je pense faire:
1- la possibilité est entre 100 et 999.
2- entre 100 et 200 il y a 100 nombres
donc 200 et 300
300 et 400
400 et 500
500 et 600
600 et 700
700 et 800
800 et 900
et 900 et 999 il y a 99 nombres
donc899 n’ombres au total?
SVP aidez moi pour comprendre merci!!
-
Vérifiée par Alloprof
Secondaire 4 • 2aBonsoir
J'ai se numero que je ne comprend pas. Pouvez-vous me l'expliquer.
-
Vérifiée par Alloprof
Secondaire 2 • 2aJ'ai beaucoup de difficulté a faire un devoir en mathématique, c'est sur les exposant et les fractions, j'ai essayer de suivre le prof et de relire mes cours mais rien de cela marche vous êtes mon seul espoir j'aimerais bien avoir une explication claire pour chaque cas.
Exemple: ((-2)exposant4),-2exposant4, (-2exposant4) et (-2exposant4)
Merci :)
-
Vérifiée par Alloprof
Secondaire 1 • 2aBonjour
j’ai écris cette réponse mais je me demande si la réponse est complète et bien expliquée merci beaucoup!
-
Vérifiée par Alloprof
Secondaire 1 • 2aBonjour
j’ai eu beaucoup de difficultés à faire ce tableau. J’ ai essayer de commencer par des réponses fixes que je vous ai envoyer sur la feuille blanche. Ensuite j’ai essayé de répondre au question qui donne plus d’option mais parfois les Contraintes des lettre et chiffres des colonnes et rangée ne concorde pas. Par exemple, B et 1 il faut trouver un nombre autre que 92 650 car il n’est pas supérieur à 100 000 comme dans la contrainte.SVP aidez moi merci!
-
Vérifiée par Alloprof
Secondaire 5 • 2aBonsoir, j’éprouve un peu de difficulté à faire ces deux numéros, je ne sais pas comment m’y prendre pour tracer la fonction sur le graphique, pouvez vous m’aider ?
-
Vérifiée par Alloprof
Secondaire 1 • 2aBonjour,
c’est pour les 3 premiers questions sur les nombres naturels
est ce correcte?
merci beaucoup!
-
Vérifiée par Alloprof
Secondaire 4 • 2aBonsoir!
Comment peut-on passer de la fome symétrique à la forme forme générale?
Pourriez-vous m'expliquer à quoi sert la forme générale?
Comment savoir si on (dans un contexte) on parle de la forme générale?
Merci beaucoup!
-
Vérifiée par Alloprof
Secondaire 1 • 2aSvp pourriez vous m'aider à la question
-
Vérifiée par Alloprof
Secondaire 4 • 2abonjour,
je suis vraiment bloqué dans ce numéro est-ce que ce serait correct de faire ainsi:
Agazon = Arond-point - Afleurs
Pi x (12r^2 - 8r - 20) = PIr^2 - PIr^2
Pi x (12r^2 - 8r - 20) = PI x (2+r)^2 - PIr^2
Pis isoler r ???
merci en avance et bonne soirée
-
Vérifiée par Alloprof
Secondaire 1 • 2aSvp pourriez vous m'aider
Merci




















