Liste de discussions
-
Vérifiée par Alloprof
Secondaire 3 • 2aBonjour j'aimerais avoi de l'aide avec le g dans la partie mauve soulignee. Matiere: notation exponentielle, merci
-
Vérifiée par Alloprof
Secondaire 2 • 2aBonjour je ne comprends pas cette exercice
-
Vérifiée par Alloprof
Secondaire 4 • 2abonjour. Je fais des maths et il y a un numéro que je ne comprends pas. Le voici :
« Déterminez le périmètre du triangle ALM, sachant que mLM = 34 cm, que le sinus de l'angle = 0,471 et que le rapport entre les mesures des côtés AL et AM est de 1,875 (soit mAL/mAM = 1,875). Arrondissez à l'unité. »
-
Vérifiée par Alloprof
Secondaire 3 • 2aBonjour alloprof je vous avais poser une question mais vous ne m'avez pas bien compris c'est quel numéro. Pour le i) quand il y a une division est-ce que le 2b reste numérateur ou dénominateur ?
-
Vérifiée par Alloprof
Secondaire 3 • 2abonsoir,est ce que vous pouvez m'aider svp ?
Je n'ai pas compris comment développer
(5-9)^3
vous pouvez m'aider ?
-
Vérifiée par Alloprof
Primaire 5 • 2aRe-bonjour alloporf !
Je n'ai pas aussi compris celui-la !
Pouvez-vous m'expliquer ?
-
Vérifiée par Alloprof
Primaire 6 • 2aComment on fait pour ne pas oublier la méthode PEMDAS lors d'équation?
-
Vérifiée par Alloprof
Primaire 5 • 2aBonjour alloporf !
J'ai pas compris ce numero.
Pouvez-vous m'expliquer svp ?
-
Vérifiée par Alloprof
Secondaire 3 • 2aBonjour j'aimerais savoir c'est quoi la reponse avec une demarche SVP (pour le c)
-
Vérifiée par Alloprof
Secondaire 4 • 2aBonjour, je ne comprends pas pourquoi ils disent que la corrélation est faibles sachets que les points sont proches de la diagonale et qu’il y a beaucoup de zéro. Auriez-vous une astuce qui me permettrait plus facilement de reconnaître si c’est une corrélation positive, moyenne ou négative en me servant du tableau à double entrée ?
merci pour votre aide : )
-
Vérifiée par Alloprof
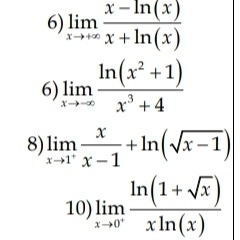
Secondaire 3 • 2aNotation exponentielle, JE ne comprends pas le i
-
Vérifiée par Alloprof
Secondaire 4 • 2aBonjour je ne comprend pas comment
dans le corriger les signes changes.
-
Vérifiée par Alloprof
Secondaire 1 • 2aje dois trouver un nombre avec un exposant 2 qui est égale a 8 mais je n'y arrive pas
-
Vérifiée par Alloprof
Secondaire 2 • 2aComment trouver le 12e terme ou le 36e?
-
Vérifiée par Alloprof
Secondaire 4 • 2aAllo! Je ne comprends pas ce qu’il faut faire pour résoudre le numéro 3b. Merci et bonne fin de semaine : )
-
Vérifiée par Alloprof
Primaire 2 • 2ases quoi topologie poly dimensional
-
Vérifiée par Alloprof
Primaire 5 • 2ases quoi geometria simplectica
-
Vérifiée par Alloprof
Secondaire 5 • 2aBonjour,
Auriez-vous des exercices sur les preuves mathématiques dans les triangles semblables et isométriques ?
Ex : Quand on nous dit démontre que c'est un triangle isométrique et je dois le justifier.
Est-ce que vous avez ça ? J'en aurais besoin pour me pratiquer.
Merci !
-
Vérifiée par Alloprof
Secondaire 5 • 2aBonjour, je dois passer de cette forme:A cette forme :Cependant rendu à cette forme:Je bloque, merci beaucoup!!
-
Vérifiée par Alloprof
Secondaire 3 • 2aBonjour alloprof quand il y a une division par exemple 2b est-ce qu'il reste dénominateur ou nominateur ? Le 2b je le mets en bas est-ce que c'est ça
-
Vérifiée par Alloprof
Secondaire 3 • 2aBonjour comment on fait ces calculs je me stresse. Ce que je ne comprends pas comment j'ai écrit mais je ne comprends pas bien mes calculs pouvez-vous m'expliquer s'il vous plaît 😭😭😭😭😭😭
-
Vérifiée par Alloprof
Secondaire 4 • 2aBonjour, est ce que c’est possible que l’angle G soit de 127,5 degré , merci
-
Vérifiée par Alloprof
Secondaire 3 • 2aBonjour, je n'arrive pas à trouver la mesure du côté de la pyramide à base hexagonale, puis-je avoir de l'aide?
L'Informations dont je connais :
apothème hexagone : 3 cm
apothème pyramide : 5 cm
aire totale pyramide : 200 cm carré
il s'agit du g)
-
Vérifiée par Alloprof
Postsecondaire • 2aBonjour,
J'ai de la difficulté avec une de mes questions pour un devoir en math.
-Exprimer le vecteur PG comme une combinaison linéaire des vecteurs canoniques de R3
il fallait trouver le vecteur PG , ce que j'ai réussi ( -9/4, -31/4, -29/4)
Je ne comprend pas comment on peut trouver une combinaison linéaire. Je pensais pour une combinaison linéaire il faut au moins 2 vecteurs?
-
Vérifiée par Alloprof
Secondaire 4 • 2aBonjour je ne comprends pas ce problème, merci d’avance pour l’explication.
-
Vérifiée par Alloprof
Secondaire 5 • 2aJe comprend pas comment résoudre ce système d’équation.Pour être plus précise je ne comprend pas comment soustraire le a√3 du -a (vice versa)
-
Vérifiée par Alloprof
Secondaire 3 • 2aBonjour alloprof pouvez-vous m'expliquer comment on fait les calculs pour trouver ces réponses merci?
-
Vérifiée par Alloprof
Secondaire 2 • 2aJe dois traduire en expression algébrique : le quotient entre la somme d'un nombre et 4 par la différence de ce nombre et 7.
x-4
----
x-7
Est-ce que c'est la bonne réponse ?
Merci.
-
Vérifiée par Alloprof
Secondaire 1 • 2aBonjour ,je suis au secondaire 1 Pei et jai bientôt un examens sur les fractions(additionner,multiplier,diviser et soustraire) sur les nombres decimaux(additionner,multiplier,diviser et soustraire) et finalement les nb entier exemple: 1+-2=? avez vous des trucs merci
-
Vérifiée par Alloprof
Secondaire 4 • 2aBonjour Allôprof!! Je voudrais savoir si on devait calculer la pente de chaque côté. Merci !!





















