Liste de discussions
-
Vérifiée par Alloprof
Primaire 3 • 2asalut jai une question
est ce que netmath a ete cree par vous ou pas
-
Vérifiée par Alloprof
Secondaire 5 • 2aBonjour y a un problème en maths que je ne comprend rien du tous. Merci
3 1/2 -5[(2/3-3/4)+(5/6-1/2)]
-
Vérifiée par Alloprof
Secondaire 5 • 2aBonjour, je me demandais comment calculer la hauteur d’un cône lorsque je connais son volume et la mesure de son rayon. Est-ce qu'il y a une formule particulière pour cela? Merci beaucoup d’avance!
-
Vérifiée par Alloprof
Secondaire 5 • 2aOn a un dé équilibré de 4 faces numérotées de 1 à 4 et un dé équilibré de 6 faces numérotées de 1 à 6. On s’intéresse aux événements À : obtenir un nombre impair et B obtenir un nombre premier. Quel dé faut il lancer pour que les événements À et B soient indépendants?
-
Vérifiée par Alloprof
Secondaire 5 • 2aBonjour!
En optimisation linéaire ( sec 5)
1) Quand on déplace une droite baladeuse, est-ce qu'on peut la déplacer comme on veut?
2) J'ai entendu qu'il faut qu'elle soit parallèle, mais parallèle à quoi ? Le polygone de contrainte ?
3) À quel point ou endroit dans le plan cartésien devons nous commencer a bouger la droite et la bougeons nous de haut en bas, de droite à gauche ou vice-versa ?
4) Quel est «l'ordre» de déplacement de la droite baladeuse ( sil y en a un, ou si c'est plus un mouvement «freestyle»)
5) La pente de la droite est de -a/b, donc supposons qu'un sommet du polygone est plus haut que la «position initiale» de la droite, que ce passe-t-il ? Est ce que ce point plus haut va être le premier point quelle touche, donc il faut bouger la droite en haut ?
Merci et bonne journée !
-
Vérifiée par Alloprof
Secondaire 5 • 2aje crois que 11pie/6 est faux. j'ai raison?
je crois que ça doit être -pie/6.
merci
-
Vérifiée par Alloprof
Primaire 3 • 2aBonjour, j'aimerais que quelq'un m'aide pour les tables de division. Merci !!!
-
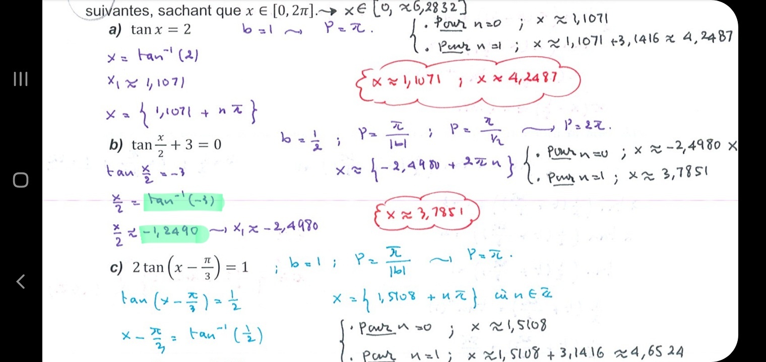
Vérifiée par Alloprof
Secondaire 5 • 2aest ce faux #b que j'ai surligné?
la réponse que j'ai trouvé est x=2,4981
est ce bonne?
merci
-
Vérifiée par Alloprof
Secondaire 1 • 2aSi qu'elqun Peut m'aider car je suis perdue avec le truc des pourcentages!!
Merci
-
Vérifiée par Alloprof
Secondaire 5 • 2aQuel est la réponse de ce problème car je ne suis pas sure de ma réponse?
-
Vérifiée par Alloprof
Secondaire 5 • 2abonsoir !
En optimisation linéaire ( sec 5),
à quoi sert la droite baladeuse? Les premiers et derniers points qui touchent la droite sont les maximums et minimums, mais ils servent à quoi ?
Merci beaucoup et bonne soirée !
-
Vérifiée par Alloprof
Secondaire 5 • 2abonsoir !
En optimisation linéaire ( sec 5),
1) Quand est-ce qu'on peut utiliser la méthode des tableaux ou la méthode de la droite baladeuse ?
2) Est ce qu'il y a des contraintes / exigences précises pour utiliser chaque méthode ou pouvons nous utiliser n'importe quelle méthode, dans n'importe quelle situation ?
3) Serait il plus intelligent de favoriser une méthode plus que l'autre, et si oui, dans quel cas ?
Merci beaucoup et bonne soirée ?
-
Vérifiée par Alloprof
Secondaire 5 • 2aBonsoir, merci beaucoup pour l'aide pour les autres numéros j'ai réussi à finir mes devoirs et comprendre la matière il reste simplement des petites exceptions comme ces deux là.J'aimerais ça avoir des démarches svp.(f et d)
-
Vérifiée par Alloprof
Primaire 4 • 2aje ne suis pas très bonne en math est jai de la difficulté a répond les division
-
Vérifiée par Alloprof
Primaire 6 • 2aBonjour
j'ai un défis que mon professeur et mon ami me lancer de faire des problème écrit . je veux les surprendre.
mais je doit apprendre la règle de trois.
voici mon problème
1; La compagnie construx profite de rabais sur les mandriers. elles payer 46 pour 5 mandrier combien coute un mandriers.
moi j'ai 46 diviser par 5=9.20
1 mandriers 9.20. le premier problème
maintenant il me demander combien me couterons 62 mandrier
moi je feras ca 9.20 x 62= 570,00
est que je bien compris ou pas merci
-
Vérifiée par Alloprof
Secondaire 1 • 2aBonjour pouvez-vous me dire comment faire ?
Je n’ai pas vraiment compris :/
-
Vérifiée par Alloprof
Primaire 5 • 2aBonsoir! alloprof!
Oui, il est tard. Mais jeurais une mini question:
je ne connait pas a fond le site alloprof et je voudrais quelques exercices de multiplier un nombre naturel par une fraction!
voila une image. ca pourras vous aidez. merci d’avance!
-
Vérifiée par Alloprof
Secondaire 3 • 2abonjour, je n’ai toujours pas compris ou je dois commencer et comment résoudre ce problème. Je ne sais pas si la location d’embarcation et l’hébergement compte pour que ça soit moins que 900$ de budget.
-
Vérifiée par Alloprof
Secondaire 2 • 2aBonsoir,
Je ne comprend pas mon problème de math pourriez vous m'aider. Alors si un hendécagone régulier dont chacun des côtés mesure 2,2 m et dont l'apothème mesure 3,8 m. Quelle et l'aire de se polygone régulier.
Merci d'avance pour votre aide.
-
Vérifiée par Alloprof
Secondaire 2 • 2aPouvez-vous me montrer comment on a fait avec ce figure s'il vous plaît je veux voir les étapes. Merci
-
Vérifiée par Alloprof
Secondaire 2 • 2aBonjour pouvez-vous me montrer comment on le fait s'il vous plaît merci
-
Vérifiée par Alloprof
Secondaire 1 • 2aSi j'ai un PGCD de 1, dois-je prendre le deuxième PGCD suivant? Merci.
-
Vérifiée par Alloprof
Primaire 3 • 2ac est qois un carte cartesier
-
Vérifiée par Alloprof
Secondaire 2 • 2aBonjour ,
J'ai une question ca veut dire quoi une forme complexe d'une chambre ? ou une dessin d'une forme complexe d'une chambre ?
Merci.
-
Vérifiée par Alloprof
Secondaire 3 • 2acombien fait 7,55e+2
-
Vérifiée par Alloprof
Secondaire 2 • 2aBonjour je ne comprend pas l’aire latéral d’un cylindre? Merci
-
Vérifiée par Alloprof
Secondaire 4 • 2aBonjour, la reponse est y<3/5x + 4 . Je ne comprends pas ce que j'ai fais de mal. Merci
-
Vérifiée par Alloprof
Secondaire 2 • 2aJe ne comprends pas comment trouver la mesure manquante
-
Vérifiée par Alloprof
Secondaire 2 • 2aBonjour comment on fait pour l'aire de la base l'aire latérale mais pas la base pouvez-vous me le montrer s'il vous plaît
-
Vérifiée par Alloprof
Secondaire 4 • 2aBonjour, Je ne comprends pas comment faire. Merci














