Liste de discussions
-
Vérifiée par Alloprof
Primaire 5 • 2aBonjour,J'ai un problème avec PEMDAS.
Merci
-
Vérifiée par Alloprof
Secondaire 1 • 2aC'est quoi le prix d'un article qui coûte 23,95$ avec des taxes de 15%. Quel est coût maitenant pour l'article
-
Vérifiée par Alloprof
Secondaire 2 • 2aBonjour J'aurais besoin d'aide de ce numéro est-ce que je suis obligé l'aire du cylindre et du carré j'ai besoin d'aide
-
Vérifiée par Alloprof
Primaire 1 • 2aJ'ai de la difficulté à trouver les choses sur le site comme meteormath2 pour mathématique.
Et pour le français ou mettre le code que le professeur nous donnes pour la liste de l'orthographe. PE j'aurais du ouvrir un compte parent au lieu d'élèves. J'ai besoin d'aide svp, merci
-
Vérifiée par Alloprof
Secondaire 4 • 2aBonjour je ne comprend pas comment trouver les coordonnées du point N . Aidez moi svp merci , c’est une pratique C1 (math sn4) . Je vous envoie mes démarches . Ne prenez pas en compte les données barrées en noir . Merci!
-
Vérifiée par Alloprof
Secondaire 1 • 2aC'est quoi le prix d'u article qui coût 55,08$ avec des taxes de 15% quel est maitenant le coût
-
Vérifiée par Alloprof
Secondaire 4 • 2abonjour, j’aurais besoin d’aide pour se numéro svp!
-
Vérifiée par Alloprof
Secondaire 2 • 2aBonjour, j’ai de la difficulté à comprendre et à appliquer la bonne formule. Pouvez vous m’aider svp.
-
Vérifiée par Alloprof
Secondaire 3 • 2aSalut, je me demandais comment résoudre se problème(numéro c)
Merci d’avance;)
-
Vérifiée par Alloprof
Secondaire 2 • 2aBonjour,
J’ai de la difficulté avec les règles de variation proportionnelles et non-proportionnelles.
Pourriez-vous m’aider à les différencier?
Merci beaucoup.
-
Vérifiée par Alloprof
Secondaire 2 • 2aSalut alloprof Svp je ne comprends pas le numéro 8 SVP merci !
-
Vérifiée par Alloprof
Secondaire 2 • 2aLe mammifère le plus petit du monde est la chauve souris bourdon.Elle mesure environ 3 cm. Le mammifère le plus grand du monde est la baleine bleue.sa taille correspond au centuple de la somme de 21 cm et du carré de la taille de la chauve-souris bourdon.
Quelle est la taille de la baleine bleue?
-
Vérifiée par Alloprof
Secondaire 5 • 2aBonjour, je ne comprends pas comment faire ces numéro. Pouvez-vous m'aider s'il vous plaît? :)
-
Vérifiée par Alloprof
Secondaire 1 • 2acomment faire une translation sans quadrillage?
-
Vérifiée par Alloprof
Secondaire 2 • 2a(Pour les probabilités) Il y a un jeu de 52 cartes et 4 carte de carreau on été pigée ( Roi de carreau. Reine de carreau, As de carreau et 10 de carreau) On s'intéresse à savoir quelle est la probabilité d'avoir un valet OU un carreau. Je comprend qu'il faut additionner ces deux probabilités, mais dans le corrigé il est écrit qu'il faut ensuit soustraire 1/48 et je ne comprend pas pourquoi!
Merci Beaucoup!
-
Vérifiée par Alloprof
Secondaire 4 • 2aEst ce bon? Merci 😁👍😁👍
-
Vérifiée par Alloprof
Secondaire 2 • 2aEs-ce-qu'on peut écrire avec un crayon à l'encre sur la feuille de note pour l'examen de fin d'année?
-
Vérifiée par Alloprof
Secondaire 4 • 2aEst ce que c'est bon ?
-
Vérifiée par Alloprof
Primaire 5 • 2aBonjour alloprof
On peut m’aider avec cet exercice stpJ’ai un rapporteur et je sais comment l’utiliser sauf pour cet exercice
Merci d’avance
-
Vérifiée par Alloprof
Secondaire 4 • 2aSalut, je me demandais si cela était bon !
-
Vérifiée par Alloprof
Secondaire 3 • 2aBonjour!
J’aimerais savoir où se situe le diamètre dans un polygone régulier. Est ce que c’est de sommet à sommet opposé ou de milieu d’un côté à milieu d’un côté oppose?
Merci!
-
Vérifiée par Alloprof
Secondaire 5 • 2amerci!
si on n'utilise pas ce tableau, comment on peut le savoir?
merci encore
-
Vérifiée par Alloprof
Primaire 6 • 2aBonjour! Je suis une élève de 6e et je me prépare aux examens du ministère. Je suis très douée en math mais il y a juste un truc que je ne comprend pas; la translation et le dallage par translation. J'ai peur qu'il y ait des questions sur ce sujet. Avez-vous quelque chose qui pourrait me faire pratiquer? Merci d'avance!
-
Vérifiée par Alloprof
Secondaire 1 • 2aComment tracer les axes de symétrie? J’en ai besoin pour aujourd’hui.
-
Vérifiée par Alloprof
Secondaire 1 • 2asi mAB+mBC=mAC et mAB=mBC, alors 2 x mAB=mAC???
je n'ai pas compris comment
-
Vérifiée par Alloprof
Secondaire 5 • 2aSalut!
Je croyais avoir répondu correctement à ce numéro. mais je n'ai pas la même réponse du corrigé. pourquoi?
-
Vérifiée par Alloprof
Secondaire 5 • 2aSalut!
je voulais savoir si mes réponses sont bonnes( a et b), sinon pouvait vous m'expliquer mes erreurs.
-
Vérifiée par Alloprof
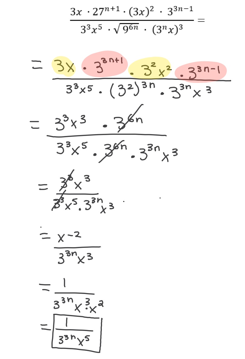
Secondaire 3 • 2aBonjour!
C’est plusieurs fois que je refais ce même numéro, mais à chaque fois que je le fais j’ai la mauvaise réponse. Pourriez-vous m’aider à trouver l’erreur dans ma démarche svp?
Merci!
-
Vérifiée par Alloprof
Primaire 3 • 2aBonjour, je ne comprend pas les fractions
1/2 de 24 centilitres de lait chaud = ??
Est-ce que je divise 24 par 2 ??
-
Vérifiée par Alloprof
Primaire 4 • 2aSalut !Sujet : La valeur de position dans un nombre :)Je ne compreds pas que :Dans le nombre 12,000 le chiffre 0 est à la position des centaines. Il vaut combien ?Pouvez-vous m'aider ?
Merci d'avance !


















