Liste de discussions
-
Vérifiée par Alloprof
Secondaire 2 • 2aBonjour! Dans mon cahier d'exercices, au #4 je ne comprends pas ce qu'est "le degré du polynôme", pouvez vous m'aider svp? Merci d'avance!
-
Vérifiée par Alloprof
Secondaire 5 • 2aAllo
- pourquoi utiliser la méthode du cercle trigonométrique est faux. Je ne comprends pas, car, par exemple, pour le numéro a, -0,5 est sur le cercle trigonométrique, alors pourquoi faux.la question est pour le numéro a etb
-
Vérifiée par Alloprof
Secondaire 5 • 2asalut!
je ne comprend pas pour quoi la réponse du corrigé est { 5,1364, 5,8592}
-
Vérifiée par Alloprof
Secondaire 5 • 2aSalut!
je narrive pas a completer les deux numéros. je ne comprend pas ce que je dois faire avec les restrictions.est ce que vous pouvez me montrer quoi faire
je résous une equation de sinus
-
Vérifiée par Alloprof
Secondaire 5 • 2aBonjour dans cet exercice (numero c) , j’ai trouvé la bonne règle, mais dans le corrigé, la valeur de « a » est -3 et non 3. Pouvez vous m’expliquer quel est mon erreur?
Merci
-
Vérifiée par Alloprof
Postsecondaire • 2aSoit les droites
Δ1 : [x y]=[5 5]+k1[8 11]
Δ2 : [x y]=[8 3]+k2[9 3]
Trouvez le point de rencontre de ces deux droites
-
Vérifiée par Alloprof
Postsecondaire • 2abut it says it diverges
-
Vérifiée par Alloprof
Secondaire 2 • 2aBonjour pouvez-vous me dire où est la base et la latérale car je suis mélangé
-
Vérifiée par Alloprof
Secondaire 2 • 2aBonjour où vous avez pris ce 44 ou peut être la réponse n'est pas 1254
-
Vérifiée par Alloprof
Secondaire 1 • 2aAllo! après avoir lu "les source de biais" en statistique, je ne comprend toujours pas la définition. Merci beaucoup !!!
-
Vérifiée par Alloprof
Secondaire 2 • 2aMerci alloprof est-ce je fais 11*23 le problème c'est que j'ai essayé par divers moyens de trouver 1254 mais je ne le trouve pas ça c'est pour le Ab
-
Vérifiée par Alloprof
Secondaire 2 • 2aBonjour!
J'ai une question pour l'aire d'un prisme. Je me demandais si quelqu'un peux m'expliquer comment calculer l'aire d'une base d'un cylindre. Dans mon manuel, il est écrit nul part. À moins que je me trompe.
-
Vérifiée par Alloprof
Secondaire 4 • 2aJe vous envoie ma demarche et la correction du nu. 8b : je ne comprends pas mon erreur. Est-ce que qqu n peut m'aider ?
-
Vérifiée par Alloprof
Primaire 6 • 2aBonjour,
J'aimerais que vous m'aidiez à savoir quel est le résultat du 20% de 40. Je ne peux pas faire 20/100 et diviser 100 par 40, ce serait illogique. À moins que ce ne soit tout simplement 20/40, mais je ne suis pas sûre.
Merci d'avance !
-
Vérifiée par Alloprof
Secondaire 2 • 2aJ'ai complaitement oublier c'est quoi les nombres qui vont pour le Pb x H
Mais je sais que le H ait la Hauteur mais c'est vraiment le Bp
-
Vérifiée par Alloprof
Secondaire 4 • 2aJe révise la factorisation et j’aimerai trouver la page d’explications sur alloprof qui correspond à cette matière précisément (celle dans la photo ) donc résolution d’inéquation et d’équation du second degré. MERCI
-
Vérifiée par Alloprof
Secondaire 2 • 2aBonjour c'est quoi budget comment peut-on distinguer que c'est budget oui ou non
-
Vérifiée par Alloprof
Primaire 5 • 2asalut
je me demandais comment je pouvais trouver le terme manquant d'une division et d'une multiplication
merci, bonne journée!
-
Vérifiée par Alloprof
Secondaire 5 • 2aSalut! Je voulais savoir si pour passer mon secondaire 5 je dois passer mes mathématiques?
-
Vérifiée par Alloprof
Secondaire 2 • 2aBonjour alloprof pouvez-vous répondre à ma question s'il vous plaît qu'est ce que je dois faire pour l'aire latérale répondez à ma question s'il vous plaît car je suis coincé et ça ne m'aide pas mais si vous répondez à ma question oh là ça va m'aider
-
Vérifiée par Alloprof
Secondaire 5 • 2aje ne sais pas comment trouver le p(t). pouvez vous me le montrer comment faire? merci
-
Vérifiée par Alloprof
Secondaire 4 • 2aComment passer d’une forme fonctionnelle à général
-
Vérifiée par Alloprof
Secondaire 3 • 2aje vais résumer le problème
j'ai un plan cartésien qui illustre une droite et une fonction rationnelle. J'ai trouvé comme règle pour la fonction f y = -41/12 x + 13/6 (fractions) Je dois trouver y pour trouver la règle G. ??
-
Vérifiée par Alloprof
Secondaire 4 • 2aJe suis vraiment Perdue, pouvez vous m'aider à résoudre ce problème svp?? Merci bcp!
-
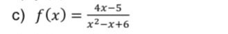
Vérifiée par Alloprof
Secondaire 4 • 2aBonsoir, pouvez vous m'aider aider a trouver le Domaine de cette fonction svp, ça m aidera bcp!!! Merci
-
Vérifiée par Alloprof
Secondaire 4 • 2aBonsoir alloprof, pouvez vous m'aider à résoudre cette question svp, je suis entrain de pratique pour l'examen du ministère, ça m'aidera bxp, merci!!!
-
Vérifiée par Alloprof
Secondaire 4 • 2aBonsoir alloprof, pouvez vous m'aider svp a résoudre cet exercice, et me donner le résultat, je veux me pratique pour l exam de ministère merci bcp!!!
-
Vérifiée par Alloprof
Secondaire 1 • 2acomment on calcule laire dune figure plane
-
Vérifiée par Alloprof
Secondaire 1 • 2aVous pouvez me rapeller ce qu'est un nombre rationel s'il vous plait merci
-
Vérifiée par Alloprof
Secondaire 2 • 2aBonjour est-ce que je dois faire pour le Al 11*11*23 ou (11*11*23)*2


























