Liste de discussions
-
Vérifiée par Alloprof
Primaire 6 • 2aSalut tout les membres de Alloprof comment convertir un nombre. Je ne comprends pas quand ont dit 10 à la double et 10 à la trois.
-
Vérifiée par Alloprof
Secondaire 5 • 2aBonsoir, je me demandais comment faire pour calculer petit 6 racine carré 2,3965 à l’aide d’une calculatrice Sharp. Y aurait-il une touche pour pouvoir inclure le petit 6? Merci beaucoup d’avance!
-
Vérifiée par Alloprof
Secondaire 2 • 2aBonsoir! Dans mon cahier, j'ai tracé les cordes comme cela mais dans le corrigé, elles n'étaient pas tracées de la même façon. Est-ce que mon point o serait toujours le même? Merci (:
-
Vérifiée par Alloprof
Secondaire 2 • 2aBonjour,
Comment calculer l'aire d'un trapèze ?
-
Vérifiée par Alloprof
Primaire 6 • 2aComment dessiner deux parallélogrammes de 24 unités carrés??
-
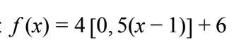
Vérifiée par Alloprof
Secondaire 4 • 2aAllô allô, j'ai un peu de difficulté à déterminer la valeur du paramètre b dans l'équation çi dessous...Je sais que dans la fonction en escalier (partie entière) le b est inversé. Je pense que la réponse serait 0,2 mais je ne suis pas certaine..merci d'avance ;)
-
Vérifiée par Alloprof
Secondaire 3 • 2aBonjour Allô Prof,
Je ne comprends pas ce numéro… #39
-
Vérifiée par Alloprof
Secondaire 5 • 2aMathématique. Je ne suis pas capable d refaire le numéro…
-
Vérifiée par Alloprof
Secondaire 1 • 2aj'aurais un devoir a faire mais je ne comprend pas quelqu'un pourrais m'aider le plus vite possible?
Combien de côtés un polygones dont la somme des angles intérieurs est de 1800 degrés????
BESOIN D'UNE EXPLICATION RAPIDEMENT
-
Vérifiée par Alloprof
Primaire 5 • 2aBonjour Alloprof , est ce que veut dire 3 fois moins
-
Vérifiée par Alloprof
Secondaire 2 • 2aBonjour, avez vous des stratégies pour retenir la différence entre l'aire du cercle et sa circonférence, je n'arrête pas de me tromper entre les deux.
Merci d'avance!
-
Vérifiée par Alloprof
Secondaire 4 • 2aBonjour j'aimerai comprendre comment on factorise 4x²+49 (avec détails svp)
Merci bcp
-
Vérifiée par Alloprof
Secondaire 3 • 2apouvez vous me expliquer que (comment je peu calculer l’aire à partir de circonférence,(comment on peu calculer la circonférence à partir de l’aire, (comment on peu calculer le rayon puis le diamètre à partir de l’air puis la circonférence puis l’aire?
Merci!
-
Vérifiée par Alloprof
Secondaire 2 • 2aBonjour, est-ce qu'il y a des fiches ou des explications pour l'aire des polygones/prismes/pyramides? Je n'en ai pas trouvé.
Merci et bonne soirée!
-
Vérifiée par Alloprof
Primaire 4 • 2aBonjour,
J'ai une question, j'aimerais avoir des activités de multiplication pour 4 année du primaire
Merci et bonne journée ou soirée
-
Vérifiée par Alloprof
Secondaire 5 • 2aBonjour 👋 j’ai de la misère avec ces numéros. No 1, 5 et 7. Merci
-
Vérifiée par Alloprof
Primaire 5 • 2abonjour!
je vais avoir un examen de math dans quelques jour mais je ne comprend pas le diagramme a ligne brisée ni le nombre décimal, les fractions et les pourcentages sur une droite numéique et je ne trouve pas d'exercice pouvez-vous m'aider svp
merci!
-
Vérifiée par Alloprof
Secondaire 3 • 2acombien font 34,96 - 87,104
-
Vérifiée par Alloprof
Secondaire 1 • 2aquelqu'un pourrais m'aider avec ce numéro??
combien de côtés a un polygone régulier dont l'angle extérieur est de 18°? Explique ta réponse.
merci beaucoup en avance!!!
-
Vérifiée par Alloprof
Primaire 4 • 2aBonjour j'ai une question a vous posée, j'ai un problème en math. Voici ma page.Je ne comprends rien pouvez-vous m'aider.
-
Vérifiée par Alloprof
Secondaire 1 • 2ac quoi l plus petit commun multiple
-
Vérifiée par Alloprof
Primaire 6 • 2aPouvez-vous m'aider à me souvenir le cercle comme la circonférence, le disque, le point O, le diamètre, le rayon et l'angle du centre.
S'il vous plait aider moi
-
Vérifiée par Alloprof
Secondaire 4 • 2aBonjour !
j’ai besoin d’aide pour calculer la circonférence du cercle. Désolé du dessin et de l’écriture affreuse…
-
Vérifiée par Alloprof
Secondaire 3 • 2aSalut, il y a une question que je comprends pas dans mon cahier d'apprentissage sommets de mathématiques secondaire 3. j'ai du mal à résoudre la question 12 de la page 269
-
Vérifiée par Alloprof
Primaire 6 • 2aBonjour!
Je me demandais si vous pourriez me donner des stratégie pour ordonner les nombre entier, naturels, décimaux et les fraction
Merci!!!
-
Vérifiée par Alloprof
Secondaire 4 • 2aBonjour, comment isoler le y?merci!
-
Vérifiée par Alloprof
Primaire 5 • 2abonjours galaxiealpha j'ai vu que tu ma demander quel son les truc que j'ai apprie a l'école pour que tu puisse répondre a ma question donc les voici:
j'ai apprie la truc du 9
j'avais déja apprie le truc du 11
et je ses que la division est le contraire de la multiplication
de plus les multiple que j'ai le plus de misair son le 4,6,7,8 et 12
j'espaire que tu va pouvoir m'aider maitenent
merci d'avance de coccinelle grandiose
-
Vérifiée par Alloprof
Secondaire 4 • 2aBonjour,
Je ne comprend pas pourquoi c'est :
f(x) = 28 000( 0,8 ) x
N'aurait-il pas un b quelque part pour ma fonction exponentielle dans cette formule ?
Merci !
BrachiosaureTimide314
-
Vérifiée par Alloprof
Secondaire 1 • 2aBonjour
je veux savoir c est quoi écart, variation. Aussi leur différence!
-
Vérifiée par Alloprof
Secondaire 1 • 2aJe comprend pas le question
Aidez moi avec les variations.












