Liste de discussions
-
Vérifiée par Alloprof
Primaire 6 • 2aQuel est le quantième de mars qui est le 80e jour d’une année non bissextile ?
-
Vérifiée par Alloprof
Secondaire 1 • 2acomment passer d'un pourcentage a une notation decimal
-
Vérifiée par Alloprof
Secondaire 1 • 2aJ'ai un exament de math sur les pourcentage, fraction et nbr
décimaux. Je veux faire des exercices, mais je n'ent trouve pas!
-
Vérifiée par Alloprof
Secondaire 1 • 2aQue faire si on a eu un 0 dans un examen de math et que faire si on a besoin d’aide en math ?
-
Vérifiée par Alloprof
Secondaire 1 • 2aBonjour,
je vous écris afin de vous demander si pouvez me donner ou m'expliquer quelles sont les différentes droites remarquables donc tout ce qui implique: les médianes, les bissectrices, les médiatrices et les hauteurs.
Merci d'avance pour vos belles explications.
Au plaisir,
FraiseAdorable8022
-
Vérifiée par Alloprof
Secondaire 4 • 2aBonjour!
Je ne sais pas comment on pourrait trouver le(s) point(s) d'intersection de ce système d'équations (dans l'image) par substitution! Est-ce que vous pourriez me montrer la démarche correcte svp?
Merci!!
-
Vérifiée par Alloprof
Secondaire 2 • 2aqui pourrai m'aider avec mes math svp
-
Vérifiée par Alloprof
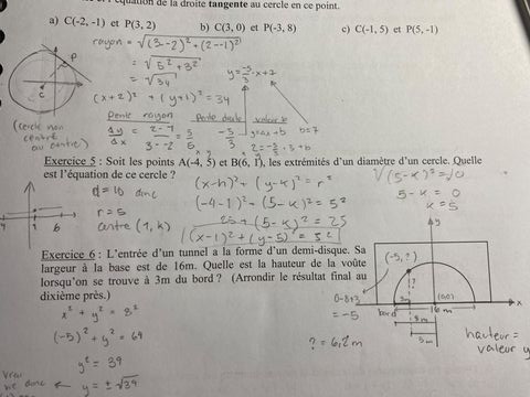
Secondaire 5 • 2aBonjour !
En math SN, dans le chapitre des coniques ( cercle), dans l'excercise 5, la reponse est
(x – 1)^2+ (y – 3)^2= 29
mais j'ai eu comme réponse
(x – 1)^2+ (y – 5)^2= 25
et je ne sais pas ou est mon erreur. Voici la question et ma démarche. J'ai pensé que la distance entre les points A et B représentait le diamètre du cercle ( 10u) donc que le rayon serait de 5 u ( 10/2). Ensuite, vu que dans un cercle, toutes les distances entre nimporte quels points et le centre sont constantes, j'ai fait la valeur du rayon - la valeur des abssices du point A et B (6-5 et -4 + 5), ce qui me donnait un centre de (1,k). J'ai donc remplacer le point A et le centre (1,k) pour isoler k, mais toute cette démarche ne mas pas donner la bonne réponse.Savez-vous ou est mon erreur ?
Merci beaucoup et bonne journee !
-
Vérifiée par Alloprof
Secondaire 3 • 2aBonjour j'aimerais savoir comment trouver 3 données manquante en ayant comme indice la moyenne
Voici une photo de mon exercice
Merci
-
Vérifiée par Alloprof
Secondaire 1 • 2aBonjour c'est que j'ai un controle de math ce mercredi est ce que vous pourriez me donner un site ou il y aurait des exercices.
- Chaîne d'opérations avec les entiers relatifs
- Fractions
- Placer sur une droite numérique + comparaison
- Connaître les différents types de fractions
- Transformer des fractions impropres en nombres fractionnaires (et vice-versa)
- fractions équivalentes et pourcentages
- addition et soustractions de fractions
- Polygones
- Différents types de polygones
- Reconnaître les différents triangles
- Construire avec les instruments de géométrie les triangles
- Dessiner les 4 droites remarquables d'un triangle avec les instruments de géométrie Merci
-
Vérifiée par Alloprof
Secondaire 1 • 2aQue faire si on a eu un 0 dans un examen de math et que faire si on a besoin d’aide en math ?
-
Vérifiée par Alloprof
Primaire 3 • 2aMatière = maths comment je fais pour bien utiliser les marionnettes en bas ?
-
Vérifiée par Alloprof
Primaire 5 • 2acomment fait on pour calculer une moyenne avec un chiffre manquant merci!
-
Vérifiée par Alloprof
Primaire 3 • 2aComment me souvenir des maths que j’apprends? Merci ☺️
-
Vérifiée par Alloprof
Secondaire 2 • 2aBonjour, j'ai besoin d'aide.
-
Vérifiée par Alloprof
Secondaire 1 • 2aComment diviser un nombre , qu'il soit entier ou décimal, par un nombre décimal?
-
Vérifiée par Alloprof
Primaire 3 • 2aComment fait-on pour trouver la moitié d’un nombre? Merci 🙂
-
Vérifiée par Alloprof
Primaire 5 • 2aQuelqu’un peut m’aider s’il vous plaît
-
Vérifiée par Alloprof
Secondaire 4 • 2aBonjour, Je ne comprends pas comment faire ce numéro. Cela parle des relations métriques (théorème de la hauteur etc..) Merci
-
Vérifiée par Alloprof
Secondaire 2 • 2aBonjour,
Comment réduire l'expression algébrique suivante en respectant les conventions d'écriture?
5a³b+6a²b-3ab³+11a²b
J'aurais répondu 5a³b+17a²b-3ab³ mais apparemment la bonne réponse est plutôt celle-ci: 5a³b-3ab³+17a²b. Pourquoi?
-
Vérifiée par Alloprof
Secondaire 2 • 2aBonjour!
Comment résoudre ceci?:Merci!
-
Vérifiée par Alloprof
Secondaire 1 • 2aBonjour je me demandais quelles sont les type de justification en mathématiques pour déduire par exemple des angles, des droites ou encore des segments?
-
Vérifiée par Alloprof
Secondaire 1 • 2aBonjour,
Est-ce que la somme des angles intérieurs d'un quadrilatères est de 180 degrés?
-
Vérifiée par Alloprof
Primaire 5 • 2aavez-vous une fiche sur le dévloppement des solides
-
Vérifiée par Alloprof
Primaire 6 • 2aBonjour si mon tout compte 9 Jetons, combien de jetons représentent les 5 tiers
-
Vérifiée par Alloprof
Secondaire 4 • 2aJe recommence encore et encore, et je n’ai jamais la bonne réponse…
-
Vérifiée par Alloprof
Secondaire 4 • 2aJe sais pas comment résoudre l’équation…
-
Vérifiée par Alloprof
Secondaire 4 • 2aJe bloque au rapport de 5 : 3…
-
Vérifiée par Alloprof
Primaire 5 • 2abonjour! j'ai un examen de connaisance en mathématique trés bientôt et je ne sais pas comment accéder aux exercice de math a alloprof, pouvez-vous m'aider svp
merci
-
Vérifiée par Alloprof
Secondaire 2 • 2aComment trouver la largeur d'un cercle?









