Liste de discussions
-
Vérifiée par Alloprof
Secondaire 5 • 3aPouvez vous m’aider a trouver la réciproque de la fonction a) et c)
-
Vérifiée par Alloprof
Secondaire 3 • 3aBonjour, j’aimerais savoir si le nombre -3/7 est rationnel ou irrationnel. Lorsque je divise -3 par 7 ça donne une nombre décimal infini non périodique. Donc je serais tentée de dire que c’est irrationnel. En même temps, dans un autre site je vois que 19/13 est aussi considéré comme rationnel et ça m’apparaît aussi comme infini non périodique lorsque je divise le numérateur par le dénominateur. Je suis un peu confuse…
-
Vérifiée par Alloprof
Primaire 4 • 3aBon matin alloprof, est-ce que3÷0 et 0÷3est la meme resulta ?
Merci beaucoup !!
PercheAlerte8771
-
Vérifiée par Alloprof
Primaire 4 • 3aest-ce que je peux avoir des exemple d'objet qui ont des angles droits
-
Vérifiée par Alloprof
Secondaire 2 • 3aPouvez-vous m’aider?
-
Vérifiée par Alloprof
Secondaire 2 • 3aJe ne comprend pas ce problème est ce que queiqu'un pourrait m'aider svp . Merci !
-
Vérifiée par Alloprof
Secondaire 1 • 3aBonjour, J'ai vraiment du mal avec la soustraction des nombres négatif. Est-ce que vous pouvez m'aider SVP.
-
Vérifiée par Alloprof
Primaire 5 • 3aC koi 4+4
Je suis nul en math aidez moi
Dz 🇩🇿🇩🇿🇩🇿🇩🇿
-
Vérifiée par Alloprof
Secondaire 4 • 3aBonsoir, comment est-ce qu'on résous une équation canonique de la forme a(x-h)^2 +k=0?
J'ai un exercise dans le cahier et après avoir fait des recherches j'ai su que c'était pas une équation quadratique que je connais, ax^2+bx+c=0, mais plutot l'équation canonique. Voici l'exercise: 0,1(x-12)^2 +4=14
-
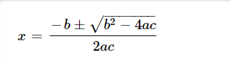
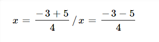
Vérifiée par Alloprof
Secondaire 4 • 3aAllo, j'ai une petite question. Est-ce que vous pouvez me dire si j'ai le droit de faire ça au lieu d'écrire X1=-b- racine de delta... et X2=-b+ racine de delta...
(Voici l'équation utilisée: 2x^2 +3x-2=0)Je fais la démarche et à la fin fin fin j'arrive àet qu'après ça j'écris:P.S.: La barre oblique (/) est utilisée pour dire ''Ou''
-
Vérifiée par Alloprof
Secondaire 4 • 3aQuel est le b dans cette fonction partie entière
f(x)=2 partie entiere -1 sur 2 x partie entiere -1
-
Vérifiée par Alloprof
Secondaire 2 • 3aAidez moi à trouver la réponse
-
Vérifiée par Alloprof
Secondaire 2 • 3aAidez moi à trouver la réponse
-
Vérifiée par Alloprof
Secondaire 2 • 3aAidez moi à trouver la réponse
-
Vérifiée par Alloprof
Secondaire 2 • 3aAidez moi à trouver la réponse de A et B
-
Vérifiée par Alloprof
Secondaire 2 • 3aAidez moi à trouver la réponse
-
Vérifiée par Alloprof
Secondaire 2 • 3aAidez moi à trouver la réponse
-
Vérifiée par Alloprof
Secondaire 2 • 3aAidez moi à trouver la réponse de A et B
-
Vérifiée par Alloprof
Secondaire 2 • 3aAidez moi à résoudre cette équation
-
Vérifiée par Alloprof
Secondaire 2 • 3aAidez moi c’est quoi la réponse à la question A
-
Vérifiée par Alloprof
Secondaire 4 • 3aje ne sais pas quoi faire..
pouvez vous me dire les étapes à faire?
la hauteur h, en mètres, d’un ballon de football au-dessus du sol, t secondes après qu’on l’a lancé, est modélisée par la fonction h(t)= 4,9t (au carré)+ 19,6 t +2. Détermine le temps pendant lequel le ballon est dans les airs au dixième de seconde près.
-
Vérifiée par Alloprof
Secondaire 2 • 3aJE NE COMPREND PAS TRES BIEN L ALGEBRE AIDEZ MOI STP
-
Vérifiée par Alloprof
Secondaire 3 • 3aJ’ai besoin
d’aide pour le numéro 9 s’il
vous plaît merci
-
Vérifiée par Alloprof
Secondaire 3 • 3aComment trouver l’air d’un triangle équilatéral de 9cm de côté je ne comprend pas comment fair
-
Vérifiée par Alloprof
Secondaire 5 • 3apouvez-vous m’aiser à résoudre ce problème svp?voici le corrigé:merci bcp!
-
Vérifiée par Alloprof
Secondaire 5 • 3abonjour! je ne comprend pas la notion de résoudre un inéquation des fonctions racines carrées ET valeur absolue. avez vous une fiche à ce sujet? merci bcp!! :))
-
Vérifiée par Alloprof
Secondaire 5 • 3abonjour! je ne comprend pas comment on a pu arriver à la réponse x e ] 16,20 [
je ne comprend pas la reponse:je ne comprend pas comment ca marche ´
merci bcp!
-
Vérifiée par Alloprof
Secondaire 1 • 3aComment peut on calculer le ppcm et pgcd a trois chiffres? Svp je ne comprend vraiment pas
-
Vérifiée par Alloprof
Secondaire 3 • 3aAllô dans les problèmes algébriques je ne comprend pas comment gérer les 1/2 avec les exposants. Merci!
-
Vérifiée par Alloprof
Secondaire 1 • 3aBonjour j'ai un devoir dont je ne comprend pas la question: Trouve les résultats (fais un algorithme pour chaque opérations.) Qu'est-ce qu'un algorithme? Je dois rendre se devoir aujourd'hui merci!



















