Liste de discussions
-
Vérifiée par Alloprof
Secondaire 5 • 3aBonjour,voici ma démarche. je ne comprends pas pourquoi la réponse du corrigéest de 1,88x10^5 J.
Merci,
-
Vérifiée par Alloprof
Secondaire 5 • 3aBonjour,
j'ai fait ek=1/2mv^2, ce qui me donne 100 J. après je sais pas quoi faire. la réponse est de 150 J...
Merci,
-
Vérifiée par Alloprof
Secondaire 5 • 3aBonjour j’ai une question en physique.Lorsqu’un objet est sur un plan incliné il faut tenir compte de son angle pour calculer la force gravitationnelle et Defois on fais cos et Defois on fais sin mais comment savoir c’est lequel ?
-
Vérifiée par Alloprof
Secondaire 5 • 3aBonjour, je ne comprends pas pourquoi la réponse du corrigé est au point 5...Merci,
-
Vérifiée par Alloprof
Secondaire 5 • 3aSalut, je suis bloqué dans mon devoir :)
J'ai cette formule MRUA a faire. Vf^2 = Vi^2 + 2a(xf-xi)
- Je cherche xf=?
- 532 km/h^2 = 248 km/h^2 + 2(2,18 m/s^2) x (xf-2286 m)
- Je convertie en m/s en faisant une division de 3.6 et je calcule les exposant.
- 21904 m/s / 4761 m/s = 4,36 m/s^2 x (xf-2286 m)
Et c'est à l'étape 5 que je bloque, j'ai une lacune en algèbre et ça m'aide pas beaucoup donc voici l'étape.
4,6 m/s / 4,36 m/s^2 = xf - 2286 m
En faite la je fais quoi exactement? pour avoir xf?
Merci!
-
Vérifiée par Alloprof
Secondaire 5 • 3aEt hop! une autre question d'algèbre! j'ai un MRU a faire... et je voudrais chercher Tf (le temps final) avec la formul :
V moy = d / (tf-ti)
537 km/h = 492,95 km / (tf-32,27 secondes)
La je me dit, que je dois surement mettre mes seconde en heur, ce qui me donne 0,009 si je divise par 3600. Pour après prendre ce chiffre et le mettre a gauche et le faire divisé par 537 km/h. Ce qui me donne 59666,67 (quoi?) pour ensuite divisé ce même nombre par 492,95 km pour un résultat de : 121 (quoi?)
Je fait quoi avec le 121? Tf est normalement en minute ou en heur dans ce cas si... mais je ne sais pas comment faire.
-
Vérifiée par Alloprof
Secondaire 5 • 3aSalut!, j'ai quelque lacune en algèbre et je ne sais pas si l'enssemble de mes donné est bonne. J'utilise l'expression MRUA suivante : Vf^2 = Vi^2 + 2a(xf-xi) pour trouver Vi.
0 km/h = Vi^2 + 2 ( 2,18 m/s^2 ) x ( 495,134 km - 493 km )
J'ai l'impression bizzard d'être dans le champ...
-
Vérifiée par Alloprof
Secondaire 5 • 3aUne voiture d’une masse de 980kg a 60 km/h. Soudain, un chien traverse la rue juste devant le véhicule . La conductrice applique alors les freins pendant 1,20 s, ce qui produit une force de 5200 N l’automobile.
a)quelle sera la vitesse de la voiture après 1,2s?
b)quelle sera la distance parcourue par la voiture pendant cette période de temps de 1,2s?
merci!
-
Vérifiée par Alloprof
Secondaire 5 • 3aTrois masses sont reliées par une corde à un système de poulies. la gravité tiré sur la masse 1 avec une force de 35N , sur la masse 2 avec une force de 26N et sur la masse 3 avec une force de 15N. Quelle sera la grandeur de la force résultante qui s’appliquera sur la masse 1?
merci!
-
Vérifiée par Alloprof
Secondaire 5 • 3aon fixe une masse de 1 kg a un ressort vertical que l’on fixe à une autre masse de 1 kg laquelle est reliée à une cloison via un deuxième ressort. les deux ressorts sont de masse négligeable et présentent le même coefficient (k) de 100 N/m.
quel est l’allongement:
a) du ressort 1
b) du ressort 2
c) du système 1+2
merci!
-
Vérifiée par Alloprof
Secondaire 5 • 3aBonjour ! J'aimerais savoir quoi faire dans ce numéro. Merci
-
Vérifiée par Alloprof
Secondaire 5 • 3aBonjour, dernière question...Est-ce que la force gravitationnel (qui est de 7,35 N) a la même valeur que la force normal ??? Et seulement pour être sure... Est ce que la réponse est 1,39 s ?
-
Vérifiée par Alloprof
Primaire 5 • 3aC'est quoi la definition de les structures soutenir, joindre et envelopper et comment les identifier?
Merci d'avance!
JupiterAdmirable1839
-
Vérifiée par Alloprof
Secondaire 5 • 3aBonjour. J'ai une question à propos de cette question... J'ai compris comment trouver la force résultante, puis tous les calculs, mais la chose que je suis complètement perdu et l'orientation de la force... J'ai pas compris ou sort la tangente et je n'ai pas compris pourquoi on doit après soustraire l'angle trouvé de 180 degree. Merci énormément pour votre aide !
-
Vérifiée par Alloprof
Secondaire 5 • 3aBonjour ! Pourriez-vous svp m'aider sur ces 2 exercices ? Je n'ai aucune idée quoi faire. Merci !
-
Vérifiée par Alloprof
Secondaire 5 • 3aBonjour, pourriez-vous m'aider dans ce problème ?
-
Vérifiée par Alloprof
Secondaire 5 • 3abjr, pk la qt de mouvement nest pas conservée dans un plan incliné?
-
Vérifiée par Alloprof
Secondaire 5 • 3abjr,2.5.3 Un gros bloc de P=1000N est déposé sur un sol dont les coefficients de frottement sont =0,6 (f. statique) et 0,4 (f. cinétique)Vous poussez horizontalement sur le gros bloc pour le déplacer, en appliquant une force de 500N. Quel sera le module de la force de frottement sur le bloc?j'arrive pas à trouver la réponse pouvez vous m'aidez?
-
Vérifiée par Alloprof
Secondaire 5 • 3abjr,
si la vitesse est égale a 0, est-ce que l'accélération est nécessairement 0?
-
Vérifiée par Alloprof
Secondaire 5 • 3aDans quelle matière la lumière voyage-t-elle le plus rapidement?
-
Vérifiée par Alloprof
Secondaire 5 • 3aY a t’il une force d’attraction gravitationnelle entre moi et la personne à côté?
-
Vérifiée par Alloprof
Secondaire 5 • 3aBonjour!
J'ai encore une fois besoin d'aide avec un numéro de physique. J'ai trouvé l'accélération de la voiture entre le 2e mètre et le 6e. Je ne sais juste pas comment trouver la force résistante. J'ai essayé la formule F résultante =Force motrice-Force résistante, mais ça ne m'a pas donné la bonne réponse.
Merci!
-
Vérifiée par Alloprof
Secondaire 5 • 3aBonjour!
Je n'arrive pas à continuer ce numéro. J'ai trouvé l'énergie potentielle élastique, mais j'essaie de trouver le travail de la force de frottement (15N) pour ensuite le déduire de mon énergie cinétique puis trouver sa vitesse finale pour finalement utiliser une formule de MRUA et trouver delta x (distance). Je ne sais pas si c'est une bonne méthode qui fonctionnera. J'aurais donc besoin d'aide.
Merci beaucoup!
-
Vérifiée par Alloprof
Secondaire 2 • 3aJ’aurais vraiment besoin d’aide pour les numéros 2 3 et 4 s’il vous plaît, c’est à remettre demain... le prof vient de mettre Le Devoir
-
Vérifiée par Alloprof
Secondaire 5 • 3aMerci beaucoup de prendre le temps de me répondre!
Je dois trouver les différentes énergies (potentielle, cinétique et mécanique) pour trouver les transferts d'énergie (perte du au frottement). Donc, je dois faire la différence entre l'énergie mécanique initiale et celle finale pour trouver mes transferts. Cependant, je ne suis pas sûre de comprendre comment calculer l'énergie mécanique finale (si il reste de l'énergie potentielle ou non) et si la hauteur entre le sol et la masse suspendue est importante. De plus, pour l'énergie mécanique initiale, je crois que c'est seulement de l'énergie potentielle, mais pouvez-vous me le confirmer?
Merci!
(si vous pouviez me faire une démarche ce serait très apprécié)
-
Vérifiée par Alloprof
Secondaire 3 • 3aBonjour, j'aurai bientôt mon test de physique. Je ne comprends toujours pas la notion du voltage/potentiel de différence. Est-ce qu'il y a des analogies qui pourraient m'aider à comprendre?
-
Vérifiée par Alloprof
Secondaire 5 • 3aBonjour,
Mon examen est demain et j'ai absolument besoin de comprendre cet exercice.
J'ai le temps du trajet, le déplacement du bloc, le poids de la masse suspendue, ainsi que la masse du mobile au complet. Je sais aussi qu'il y a du frottement entre le bloc et la planche.
Je dois trouver les différentes énergie et travail en jeu (potentiel, cinétique, mécanique et le travail fait par le frottement) Je suis bloquée.
J'ai deux questions plus précises :
1) est-ce que les valeurs absolues du déplacement du mobile est égale à la hauteur dont la masse suspendue est tombée.
2) Comment puis-je trouver les transferts d'énergie : de l'énergie mécanique initiale (je n'ai aucune vitesse) et l'énergie mécanique finale s'il reste une hauteur entre la masse suspendue et le sol. (Ep et Ek)
Merci :) et passez une bonne journée
-
Vérifiée par Alloprof
Secondaire 5 • 3aBonjour j'aimerais savoir dans le cadre d'un laboratoire pourquoi ne peut-on pas déterminer le coefficient de frottement de l'air ? (sachant que mon labo consiste à laisser tomber un ballon remplie d'air et d'un peu d'eau avec un brûleur à étincelle)
-
Vérifiée par Alloprof
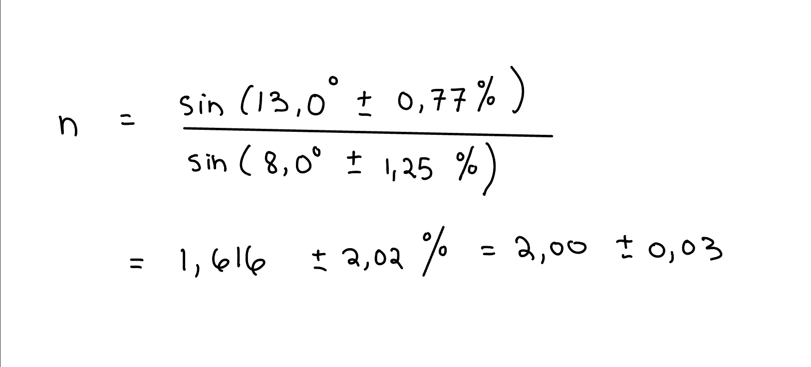
Secondaire 5 • 3aBonsoir
Pour un labo sur la réfraction il faut calculer l’indice de réfraction d'un liquide.
est-ce que mon calcul avec les erreurs absolues est bien fait? Le sinus me cause des problèmes
-
Vérifiée par Alloprof
Secondaire 2 • 3aest ce que on gagne de l argent en travaillant cher alloprof merci
NabooResponsable8716

















