Secondaire 4 • 1a
Bonjours je ne comprend pas les étape de la division a crochet en Algèbre je suis en math fort en gros pouvez vous me dire toute les étape svp cela va m’aider a comprendre merci d’avance
Explication d'Alloprof
Cette explication a été donnée par un membre de l'équipe d'Alloprof.
Salut!
Voici un résumé des étapes à suivre :
Ce contenu est protégé par le droit d'auteur. Toute reproduction à l'extérieur des forums Alloprof est interdite et pourra être considérée comme une violation du droit d'auteur.
Prenons un exemple pour mieux comprendre. Divisons −3x²+2x³+4x−5 par x−2.
Étape 1 : Il faut s'assurer que les termes sont écrits en ordre décroissant de puissances de x. Nous devons donc réorganiser notre polynôme comme ceci, car 2x³ doit être devant −3x² :
$$2x³−3x²+4x−5 $$
On place le diviseur (x-2) dans le crochet, et le polynôme à gauche.
$$\frac{2x^3 - 3x^2 + 4x - 5}{x - 2}$$
Ce contenu est protégé par le droit d'auteur. Toute reproduction à l'extérieur des forums Alloprof est interdite et pourra être considérée comme une violation du droit d'auteur.
Étape 2 : Il faut prendre le premier terme du dividende (2x³) et il faut le diviser par le premier terme du diviseur (x). Cela donne 2x².
Étape 3 : Tu dois ensuite inscrire ce résultat en dessous du crochet.
Ce contenu est protégé par le droit d'auteur. Toute reproduction à l'extérieur des forums Alloprof est interdite et pourra être considérée comme une violation du droit d'auteur.
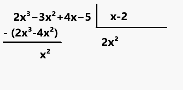
Étape 4 : Tu dois multiplier 2x² par x−2 :
$$2x²(x−2)=2x³−4x²$$
Étape 5 : Tu dois soustraire le résultat de cette multiplication du dividende :
Ce contenu est protégé par le droit d'auteur. Toute reproduction à l'extérieur des forums Alloprof est interdite et pourra être considérée comme une violation du droit d'auteur.
Étape 6 : Il faut maintenant descendre les termes du dividende pour qu'ils soient à la même hauteur que le résultat de la soustraction :
Ce contenu est protégé par le droit d'auteur. Toute reproduction à l'extérieur des forums Alloprof est interdite et pourra être considérée comme une violation du droit d'auteur.
Étape 7 : On répète les étapes 2 à 6 :
On divise x² par x, ce qui nous donne x :
Ce contenu est protégé par le droit d'auteur. Toute reproduction à l'extérieur des forums Alloprof est interdite et pourra être considérée comme une violation du droit d'auteur.
On multiplie x par (x-2), ce qui nous donne (x²-2x), et on soustrait cela de notre dividende x²+4x-5, ce qui nous donne 6x :
Ce contenu est protégé par le droit d'auteur. Toute reproduction à l'extérieur des forums Alloprof est interdite et pourra être considérée comme une violation du droit d'auteur.
On descend le terme -5 :
Ce contenu est protégé par le droit d'auteur. Toute reproduction à l'extérieur des forums Alloprof est interdite et pourra être considérée comme une violation du droit d'auteur.
On recommence. On divise 6x par (x-2), ce qui nous donne 6 :
Ce contenu est protégé par le droit d'auteur. Toute reproduction à l'extérieur des forums Alloprof est interdite et pourra être considérée comme une violation du droit d'auteur.
On multiplie 6 par (x-2), ce qui nous donne (6x-12), et on soustrait cela de 6x-5, ce qui nous donne 7 :
Ce contenu est protégé par le droit d'auteur. Toute reproduction à l'extérieur des forums Alloprof est interdite et pourra être considérée comme une violation du droit d'auteur.
Le degré de notre dividende (7 est un terme de degré 0, car \(7x^0\)) est plus petit que le degré de notre diviseur (x-2 est de degré 1). On peut donc s'arrêter.
Étape 8 : On a un reste. Nous allons donc inscrire ce reste au numérateur d'une fraction, et notre diviseur au dénominateur :
$$ \frac{7}{x-2}$$
Notre résultat final est donc ;
$$2x^2+x+6+\frac{7}{x-2}$$
Voilà! Cela peut paraître un peu long et compliqué au début, mais crois-moi, tu trouveras cela très facile à force de te pratiquer! :)
Tu peux également consulter cette fiche, elle récapitule toute la démarche à suivre et fournit plusieurs exemples similaires : La division d'une expression algébrique par un binôme | Secondaire | Alloprof
J'espère que cela t'aide! Si tu as d'autres questions, n'hésite pas à nous réécrire! :)
Suggestions en lien avec la question
Suggestion en lien avec la question
Voici ce qui a été trouvé automatiquement sur le site, en espérant que ça t’aide!