Bonsoir!
Comment sommes-nous sensé les comparer? Quel conversion dois-je faire et quel donnée?
Merci!
Ce contenu est protégé par le droit d'auteur. Toute reproduction à l'extérieur des forums Alloprof est interdite et pourra être considérée comme une violation du droit d'auteur.
Ce contenu est protégé par le droit d'auteur. Toute reproduction à l'extérieur des forums Alloprof est interdite et pourra être considérée comme une violation du droit d'auteur.
Ce contenu est protégé par le droit d'auteur. Toute reproduction à l'extérieur des forums Alloprof est interdite et pourra être considérée comme une violation du droit d'auteur.
Explication d'Alloprof
Cette explication a été donnée par un membre de l'équipe d'Alloprof.
Bonjour FraiseAdorable5247, merci pour ta question !
Tu n'as pas de conversion à faire, les calculs que tu as fait te permettent de comparer tes valeurs directement.
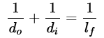
Vu que tu travailles avec des lentilles, je suppose que le but de ton labo est de démontrer la relation suivante :
Ce contenu est protégé par le droit d'auteur. Toute reproduction à l'extérieur des forums Alloprof est interdite et pourra être considérée comme une violation du droit d'auteur.
Tu as déjà calculé les deux côtés de l'équation, il ne te reste plus qu'à faire ton analyse de résultats.
N'hésite pas à nous écrire si tu as d'autres questions !
Suggestions en lien avec la question
Suggestion en lien avec la question
Voici ce qui a été trouvé automatiquement sur le site, en espérant que ça t’aide!