Secondaire 5 • 4a
quelle formule du MRUAque je dois prendre pour résoudre ce problème a) et b) :
Un bateau à moteur allant à une vitesse de 30 m/s s’approche d’une bouée située 100 mètres plus loin. Le conducteur accélère à un rythme de -3.50 m/s2 (il freine). a) Après combien de temps est-ce que le bateau rejoint la bouée? b) Quelle est la vitesse du bateau lorsqu’il rejoint la bouée?
Il y a d'autres possibilités: la numéro 6 pour la première question et la no 2 pour la deuxième.
Ce contenu est protégé par le droit d'auteur. Toute reproduction à l'extérieur des forums Alloprof est interdite et pourra être considérée comme une violation du droit d'auteur.
Explication d'Alloprof
Cette explication a été donnée par un membre de l'équipe d'Alloprof.
Bonjour KryptonKappa3924,
Merci pour ta question.
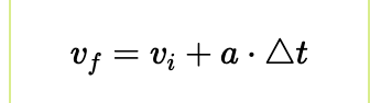
Dans le problème, la vitesse initiale, la distance, et l’accélération sont données. Par conséquent, l’unique formule MRUA qui n’implique pas deux inconnus est la suivante :
Ce contenu est protégé par le droit d'auteur. Toute reproduction à l'extérieur des forums Alloprof est interdite et pourra être considérée comme une violation du droit d'auteur.
Cette dernière nous permettra de connaitre la vitesse finale et ainsi de déterminer le temps grâce à cette dernière :
Ce contenu est protégé par le droit d'auteur. Toute reproduction à l'extérieur des forums Alloprof est interdite et pourra être considérée comme une violation du droit d'auteur.
Bref, pour voir des exemples de résolution de problèmes à l'aide des équations MRUA, je t'invite à la fiche ci-dessous.
N’hésite pas à nous réécrire si tu as d’autres questions :).
Bonne résolution !
Émilie
Suggestions en lien avec la question
Suggestion en lien avec la question
Voici ce qui a été trouvé automatiquement sur le site, en espérant que ça t’aide!