Primaire 4 • 4a
Pouvez vous m aider à résoudre ce problème plus précisément lle numéro b slvp merci 🙏 j ai essayer de faire le numéro A mais je ne suis pas sûr à 💯 pur 💯 vous pouvez me corrigé si il y a quelque hereur si il y en a dans ma résolution

Explication d'Alloprof
Cette explication a été donnée par un membre de l'équipe d'Alloprof.
Salut AvocatRapide5356,
Merci pour ta question!
a) Je t'invite à vérifier tes calculs pour le périmètre, tu sembles avoir oublié de considérer le côté gauche de la figure. Sinon, tu as bien trouvé le rapport de similitude!
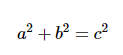
b) La première étape est de trouver l'hypoténuse du triangle 1 avec le théorème de Pythagore:
Ce contenu est protégé par le droit d'auteur. Toute reproduction à l'extérieur des forums Alloprof est interdite et pourra être considérée comme une violation du droit d'auteur.
a et b sont les côtés du triangle et c est l'hypoténuse (la diagonale). Une fois que tu as trouvé cette valeur, tu peux faire le rapport de similitude entre les deux triangles. Ensuite, tu peux trouver la mesure de chacun des côtés du triangle 2 avec le rapport et le triangle 1.
Voici une fiche à ce sujet si tu veux en savoir davantage:
J'espère que ça t'aide et n'hésite pas à nous réécrire si tu as d'autres questions!
Anthony B.
Suggestions en lien avec la question
Suggestion en lien avec la question
Voici ce qui a été trouvé automatiquement sur le site, en espérant que ça t’aide!