Skip to content

Zone d’entraide

Question de l’élève

Secondaire 5 • 3a

Bonjour

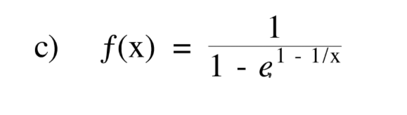
Comment suis-je supposé de trouver le domaine d'une fonction comme ça ?

Mon prof me disait toujours décortiquer lorsque les fonctions sont mélangées...

image.png


Mathématiques
avatar
avatar

{t c="richEditor.description.title"} {t c="richEditor.description.paragraphMenu"} {t c="richEditor.description.inlineMenu"} {t c="richEditor.description.embed"}

Explications (2)

  • Explication d'Alloprof

    Explication d'Alloprof

    Cette explication a été donnée par un membre de l'équipe d'Alloprof.

    Options
    Équipe Alloprof • 3a January 2022 modifié

    Bonjour,

    Pour trouver le domaine d'une fonction, tu dois trouver les cas où la fonction n'est pas définie.

    Dans ton cas, le dénominateur ne doit pas être égal à 0.

    De ce fait, trouve quand le dénominateur sera égal à 0 et tu pourras dire que le domaine c'est les réels sauf là où le dénominateur égalera 0.


    Donc,

    \(1-e^{1-\frac{1}{x}} = 0 \)

    Donc,

    \(e^{1-\frac{1}{x}} = 1\)

    Donc, l'exposant de e doit être 0 pour que l'égalité soit vraie.

    \(1-\frac{1}{x} = 0\)

    etc.


    Je te laisse résoudre.

    Bonne journée

    KH

  • Options
    3a


    1- e ^ (1-1/x) ne peut être égal à 0

    si e^(1-1/x) =1

    ln e^(1-1/x) = ln 1

    1-1/x =0 ( car e exposant 0 vaut 1)

    1=1/x donc x=1

    alors x ne peut avoir la valeur 1 autrement le dénominateur sera nul

    par ailleurs x ne peut avoir la valeur 0 à cause du 1/x

Poser une question