Skip to content

Zone d’entraide

Question de l’élève

Secondaire 5 • 3a

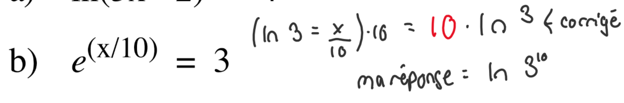
Bonjour je ne comprends pas pouquoi je n ai pas bon jainappliqué l'une des lois, ca donne le meme graphique non?

image.png


Mathématiques
avatar
avatar

{t c="richEditor.description.title"} {t c="richEditor.description.paragraphMenu"} {t c="richEditor.description.inlineMenu"} {t c="richEditor.description.embed"}

Explications (2)

  • Explication d'Alloprof

    Explication d'Alloprof

    Cette explication a été donnée par un membre de l'équipe d'Alloprof.

    Options
    Équipe Alloprof • 3a

    Bonjour à toi!

    Selon les lois des logarithmes, les deux réponses sont les mêmes!

    Capture d’écran, le 2022-01-29 à 19.06.12.png

    Si tu souhaites en apprendre davantage sur les lois des logarithmes, tu peux visiter notre fiche juste ici:

    N'hésite pas si tu as d'autres questions, ce sera un réel plaisir pour moi de t'aider :D

    Élizabeth

  • Options
    3a

    Les deux réponses sont acceptables car égales.

    Tu peux le vérifier avec une calculatrice.

Poser une question