Skip to content

Zone d’entraide

Question de l’élève

Secondaire 1 • 4a

Bonjour , j'aimerais savoir comment faire pour trouver le terme manquant dans une expression? Merci

16461477666408863878119234288290.jpg


Mathématiques
avatar
avatar

{t c="richEditor.description.title"} {t c="richEditor.description.paragraphMenu"} {t c="richEditor.description.inlineMenu"} {t c="richEditor.description.embed"}

Explications (3)

  • Options
    4a


    Remplace tout simplement la boîte/ le blanc par x (l'inconnu que tu cherches)

    image.png

    etc

  • Explication d'Alloprof

    Explication d'Alloprof

    Cette explication a été donnée par un membre de l'équipe d'Alloprof.

    Options
    Équipe Alloprof • 4a

    Salut!


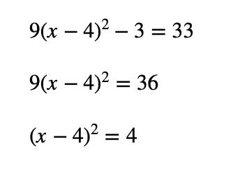
    Pour trouver le terme manquant, tu dois déplacer tous les termes de l'autre côté de l'équation en effectuant les opérations inverses.

    On a :

    $$9 \times (?-4)²-3=33$$

    On va commencer par déplacer la constante -3 de l'autre côté du signe =. Pour ce faire, on se pose la question suivante : quelle opération permet de ne plus avoir -3 du côté gauche de l'équation? / quelle est l'opération inverse d'une soustraction de 3?

    L'opération inverse de -3 est ... +3! Si on additionne +3 à -3, on obtient 0, ce qui nous permet d'enlever le -3 du côté gauche de l'équation. Lorsqu'on effectue une opération d'un côté de l'équation, il faut aussi faire cette même opération de l'autre côté de l'équation :

    $$9 \times (?-4)²-3 +3=33+3$$

    $$9 \times (?-4)²=36$$

    Maintenant, on veut éliminer la multiplication par 9. L'opération inverse d'une multiplication est une division. On va donc diviser par 9 les deux côtés de l'équation :

    $$\frac{9 \times (?-4)²}{9}=\frac{36}{9}$$

    $$ (?-4)²= 4$$

    On a un exposant 2, l'opération inverse est la racine carrée!

    $$ \sqrt{(?-4)²}= \sqrt{4}$$

    $$ ?-4=2$$

    Finalement, on veut déplacer le -4 de l'autre côté :

    $$ ?-4+4=2+4$$

    $$ ?=6$$


    Voilà! Voici une fiche sur cette notion pour plus d'exemples similaires : https://www.alloprof.qc.ca/fr/eleves/bv/mathematiques/les-methodes-generales-de-resolution-d-equati-m1452


    Si tu as d'autres questions, n'hésite pas à nous réécrire! :)

  • Options
    Postsecondaire • 4a

    Salut!

    Il suffit de simplifier l'équation et d'envoyer le plus de chiffres possible derrière le = . Par exemple ici, tu peux faire 32+ (6+1)à la deux. En l'envoyant de l'autre coté, tout change de signe, donc le - (6+1)à la deux devient +(6+1)à la deux. Ainsi de suite, envoie tout de l'autre coté du égal, pour te retrouver avec la réponse à la fin. Je ne sais pas si c'est clair, mais n'hésite pas à me poser d'autres questions!

    Bonne journée

Poser une question