Skip to content

Zone d’entraide

Question de l’élève

Secondaire 5 • 3a

Bonsoir,

J'aurais besoin d'aide avec le numéro 17.

Je l'ai essayé à plusieurs reprises, mais je n'y arrive pas.

physique.JPG

Merci et bonne soirée! ;)

Physique
avatar
avatar

{t c="richEditor.description.title"} {t c="richEditor.description.paragraphMenu"} {t c="richEditor.description.inlineMenu"} {t c="richEditor.description.embed"}

Explications (1)

  • Explication d'Alloprof

    Explication d'Alloprof

    Cette explication a été donnée par un membre de l'équipe d'Alloprof.

    Options
    Équipe Alloprof • 3a

    Bonjour OrAutonome,

    Merci pour ta question!

    14) L'équation de l'accélération est la suivante:

    image.png

    Puisque le train est à l'arrêt au départ, △v correspond directement à sa vitesse normale. △t est le temps qu'il prend à atteindre sa vitesse normale.

    15) L'équation de la distance parcourue est la suivante:

    image.png

    À nouveau, vi est nul, et vf correspond à la vitesse normale. △t correspond à la même valeur que précédemment.

    16) Pour trouver la distance avant l'arrêt, tu peux isoler △x de cette équation:

    image.png

    vf est nul, puisque le train sera à l'arrêt, vi est la vitesse normale, et l'accélération est l'accélération négative du freinage.

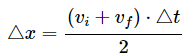
    17) Finalement, tu peux isoler △t de cette équation:

    image.png

    Puisque tu connais maintenant les distances d'accélération et de décélération, ainsi que la distance totale parcourue par le train, tu peux trouver le △x correspondant au MRU.

    Je te joins la fiche explicative répertoriant les principales formules utilisées en physique:

    N'hésite pas si tu as d'autres questions:)

    Kylan

Poser une question