Secondaire 5 • 4a
Bonsoir,
Je n'y suis puis arrivé à la bonne réponse dans les numéros 37,42 et 45. (En fait, la 45, je ne l'ai pas comprise.)
Pouvez-vous svp me les expliquer?
Merci et bonne soirée! ;)

Explication vérifiée par Alloprof
Cette explication a été vérifiée par un membre de l’équipe d’Alloprof.
Bonjour,
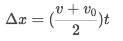
Pour #37, je ne sais pas ce que vous avez appris, mais puisqu'ils te donnent le temps(t = 5s), la vitesse finale (v = 0), la distance (deltax = 60m) et ils te demandent de trouver la vitesse initiale (v_0 = ?), tu peux utiliser la formule cinétique :
Ce contenu est protégé par le droit d'auteur. Toute reproduction à l'extérieur des forums Alloprof est interdite et pourra être considérée comme une violation du droit d'auteur.
Pour #42, c'est le même principe. Ils te donnent l'accélération, le déplacement/distance, la vitesse finale (v_f) et te demande pour la vitesse initiale (v_0). L'équation cinétique qui contient ces 4 variables est :
Ce contenu est protégé par le droit d'auteur. Toute reproduction à l'extérieur des forums Alloprof est interdite et pourra être considérée comme une violation du droit d'auteur.
Pour #45, le problème te dit qu'une voiture qui roule à 20m/s applique ses freins pendant 5s de manière constante (la décélération est constante). Après avoir freiné pendant 5s, il roule encore à 7.5m/s. La question veut savoir combien de temps extra il devrait freiner pour se rendre à 0m/s. En notant les variables données (explicitement et implicitement), tu peux trouver l'équation cinétique qui convient au problème.
Plus d'info ici: https://www.alloprof.qc.ca/fr/eleves/bv/physique/les-equations-du-mrua-p1010
Suggestions en lien avec la question
Suggestion en lien avec la question
Voici ce qui a été trouvé automatiquement sur le site, en espérant que ça t’aide!