Bonjour,
J'ai essayé les deux méthodes suggérés dans cette discussion, mais malgré tout je n'y arrive toujours pas pour le numéro 25.
Voici mes démarches
Ce contenu est protégé par le droit d'auteur. Toute reproduction à l'extérieur des forums Alloprof est interdite et pourra être considérée comme une violation du droit d'auteur.
Ce contenu est protégé par le droit d'auteur. Toute reproduction à l'extérieur des forums Alloprof est interdite et pourra être considérée comme une violation du droit d'auteur.
Ce contenu est protégé par le droit d'auteur. Toute reproduction à l'extérieur des forums Alloprof est interdite et pourra être considérée comme une violation du droit d'auteur.
Ce contenu est protégé par le droit d'auteur. Toute reproduction à l'extérieur des forums Alloprof est interdite et pourra être considérée comme une violation du droit d'auteur.
Pouvez-vous plus m'aider svp?
Merci et bonne journée! ;)
Explication d'Alloprof
Cette explication a été donnée par un membre de l'équipe d'Alloprof.
Salut !
Pour te donner une réponse plus rapide, je vais recommencer depuis le début et détailler la démarche ! J'utiliserai les formules de cette fiche :
Aussi, je t'invite à convertir en m/s les vitesse, cela te facilitera les calculs ! Tout d'abord, les positions à 0s sont les suivantes !
Ce contenu est protégé par le droit d'auteur. Toute reproduction à l'extérieur des forums Alloprof est interdite et pourra être considérée comme une violation du droit d'auteur.
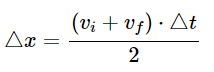
Ensuite, une des voitures accélère jusqu'à 170km/h en 30 secondes. Tu peux calculer la distance qu'elle aura parcourue à l'aide de la formule suivante :
Ce contenu est protégé par le droit d'auteur. Toute reproduction à l'extérieur des forums Alloprof est interdite et pourra être considérée comme une violation du droit d'auteur.
Pour cette voiture, \(v_i\) est 0. Pour la seconde, tu peux calculer la distance parcourue à l'aide de la vitesse seulement, car elle garde la même vitesse. À 30s, les voitures sont positionnées comme suit :
Ce contenu est protégé par le droit d'auteur. Toute reproduction à l'extérieur des forums Alloprof est interdite et pourra être considérée comme une violation du droit d'auteur.
La différence entre ces deux voitures est d'environ 80m. Ainsi, la position de l'auto-radar varie selon la règle suivante :
$$ y_1=42x $$
42 m/s étant la vitesse convertie de 170 km/h. Et la position de la voiture en avant varie comme suit :
$$ y_2=ax+80 $$
\(a\) est sa vitesse en m/s. Tu peux ainsi trouver la position le temps \(x\) lorsque la première voiture aura atteint la seconde (\(y_1 = y_2\)).
Si tu as d'autres questions, n'hésite pas !
(P.S. : Tu dois y ajouter les 30 secondes du début).
Suggestions en lien avec la question
Suggestion en lien avec la question
Voici ce qui a été trouvé automatiquement sur le site, en espérant que ça t’aide!