Bonjour!
C'est une question que j'avais posé il y a environ un mois et j'avais reçu une explication, la voici:
« L'objet subira une réfraction, puis une réflexion (avec le miroir courbe). Tu as les informations nécessaires (do, di, ho, hi), donc il te suffit d'utiliser les formules optiques dans le but de trouver la hauteur de l'image. Voici deux fiches qui pourront t'aider :
** le type de lentille dans cet exercice est convergente. Le type de miroir courbe est concave ** »
Serait-ce possible que vous avez oublié de mentionner comment utiliser la formule quand l'image qui traverse la lentille se forme derrière le miroir?
En effet, j'aimerais surtout savoir s'il y a une façon de faire pour trouver la position et la grandeur de l'image autre que calculer les angles des rayons?
Merci beaucoup :D

Explication d'Alloprof
Cette explication a été donnée par un membre de l'équipe d'Alloprof.
Salut !
Le mieux serait de reprendre depuis le début ! Il te faut dans un premier temps, comprendre la situation qui est représentée dans l'exercice. Comme il t'a été expliqué, l'objet produit une image au-delà de la lentille. Voici le cas de figure de manière imagée :
Ce contenu est protégé par le droit d'auteur. Toute reproduction à l'extérieur des forums Alloprof est interdite et pourra être considérée comme une violation du droit d'auteur.
L'objet se trouve à une distance entre le foyer et la valeur double du foyer. L'image sera inversée et au delà de deux fois le foyer. Le but de cette première partie de l'exercice est de trouver la grandeur et la position de cette image à l'aide des formules décrites dans cette fiche :
Ce contenu est protégé par le droit d'auteur. Toute reproduction à l'extérieur des forums Alloprof est interdite et pourra être considérée comme une violation du droit d'auteur.
Tu peux utiliser la distance focale et la distance entre la lentille et l'objet afin de calculer la position de l'image. Tu peux par la même occasion calculer la hauteur de l'objet.
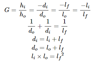
La seconde partie de l'exercice te demande de calculer l'image produite par la réflexion de la première image sur le miroir. Pour ce faire, tu dois utiliser les formules de cette fiche :
Ce contenu est protégé par le droit d'auteur. Toute reproduction à l'extérieur des forums Alloprof est interdite et pourra être considérée comme une violation du droit d'auteur.
Les formules sont similaires à celles des lentilles avec la différence ici pour le rayon de courbure qui te permettra de calculer la longueur focale.
À partir de là, je t'invite à faire l'exercice par toi-même et de poser des questions sur les problèmes précis que tu rencontres.
Si tu as d'autres questions, n'hésite pas !
Suggestions en lien avec la question
Suggestion en lien avec la question
Voici ce qui a été trouvé automatiquement sur le site, en espérant que ça t’aide!