Bonjour comment calculer la résistance équivalente dans ce circuit ?
Ce contenu est protégé par le droit d'auteur. Toute reproduction à l'extérieur des forums Alloprof est interdite et pourra être considérée comme une violation du droit d'auteur.
Merci de faire appel à nos services puisque nous pouvons t'aider!
Il s'agit d'un circuit mixte ! Tu dois d'abord calculer la résistance équivalente des résistances en séries :
Ce contenu est protégé par le droit d'auteur. Toute reproduction à l'extérieur des forums Alloprof est interdite et pourra être considérée comme une violation du droit d'auteur.
$$ R_{1-2}=R_1+R_2 $$
$$ R_{3-4}=R_3+R_4 $$
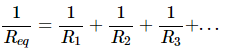
Par la suite, il ne te restera plus qu'à utiliser ces résistances équivalentes pour calculer la résistance équivalente globale :
Ce contenu est protégé par le droit d'auteur. Toute reproduction à l'extérieur des forums Alloprof est interdite et pourra être considérée comme une violation du droit d'auteur.
Explication vérifiée par Alloprof
Cette explication a été vérifiée par un membre de l’équipe d’Alloprof.
Salut à toi!
Merci de faire appel à nos services puisque nous pouvons t'aider!
Il s'agit d'un circuit mixte ! Tu dois d'abord calculer la résistance équivalente des résistances en séries :
Ce contenu est protégé par le droit d'auteur. Toute reproduction à l'extérieur des forums Alloprof est interdite et pourra être considérée comme une violation du droit d'auteur.
$$ R_{1-2}=R_1+R_2 $$
$$ R_{3-4}=R_3+R_4 $$
Par la suite, il ne te restera plus qu'à utiliser ces résistances équivalentes pour calculer la résistance équivalente globale :
Ce contenu est protégé par le droit d'auteur. Toute reproduction à l'extérieur des forums Alloprof est interdite et pourra être considérée comme une violation du droit d'auteur.
Je te recommande de lire la fiche suivante:
Bon étude!
AraAlpha2019
Suggestions en lien avec la question
Suggestion en lien avec la question
Voici ce qui a été trouvé automatiquement sur le site, en espérant que ça t’aide!