Comment je trouve l’écart moyen de numéro 2) et 3)
Ce contenu est protégé par le droit d'auteur. Toute reproduction à l'extérieur des forums Alloprof est interdite et pourra être considérée comme une violation du droit d'auteur.
Ce contenu est protégé par le droit d'auteur. Toute reproduction à l'extérieur des forums Alloprof est interdite et pourra être considérée comme une violation du droit d'auteur.
Explication d'Alloprof
Cette explication a été donnée par un membre de l'équipe d'Alloprof.
Salut :D
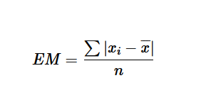
L'écart moyen est la somme de toutes tes valeurs - la moyenne en valeur absolue divisée par le nombres de données de la distribution.
Ce contenu est protégé par le droit d'auteur. Toute reproduction à l'extérieur des forums Alloprof est interdite et pourra être considérée comme une violation du droit d'auteur.
Par exemple, 5 - moyenne (toutes tes valeurs additionnées divisées par 15) en valeur absolue (tu prends cette valeur en positif) divisé par 15 (qui correspond au total des effectifs).
Tu répètes cette étape pour chacune de tes données, et tu additionnes le résultat. Oui, c'est très long! :P
Consulte cette fiche au besoin pour avoir un exemple :
N'hésite pas si tu as d'autres questions lors du calcul :)
Suggestions en lien avec la question
Suggestion en lien avec la question
Voici ce qui a été trouvé automatiquement sur le site, en espérant que ça t’aide!