Ce contenu est protégé par le droit d'auteur. Toute reproduction à l'extérieur des forums Alloprof est interdite et pourra être considérée comme une violation du droit d'auteur.
Je ne comprends pas les questions b) et c), s’il vous plaît pouvez vous m’aider.
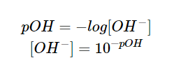
Puisque tu connais la concentration de la base forte, tu peux utiliser la formule suivante pour trouver le pOH et ensuite le pH. [OH-] correspond à la concentration de la base.
Ce contenu est protégé par le droit d'auteur. Toute reproduction à l'extérieur des forums Alloprof est interdite et pourra être considérée comme une violation du droit d'auteur.
Ensuite, tu sais que la base forte et la base faible sont de même concentration. Ainsi, la base faible génère moins de groupements négatifs lorsqu'elle est mise en solution, alors son pH est plus faible. Plus le pH est haut, plus la solution est basique et plus elle est faible, plus c'est acide.
Voici une fiche à ce sujet si tu veux en savoir plus:
-log[OH-]=pOH
14-pOH=pH
pH base forte> base faible
Explication d'Alloprof
Cette explication a été donnée par un membre de l'équipe d'Alloprof.
Salut DragonCharismatique5178,
Merci pour ta question!
Puisque tu connais la concentration de la base forte, tu peux utiliser la formule suivante pour trouver le pOH et ensuite le pH. [OH-] correspond à la concentration de la base.
Ce contenu est protégé par le droit d'auteur. Toute reproduction à l'extérieur des forums Alloprof est interdite et pourra être considérée comme une violation du droit d'auteur.
Ensuite, tu sais que la base forte et la base faible sont de même concentration. Ainsi, la base faible génère moins de groupements négatifs lorsqu'elle est mise en solution, alors son pH est plus faible. Plus le pH est haut, plus la solution est basique et plus elle est faible, plus c'est acide.
Voici une fiche à ce sujet si tu veux en savoir plus:
J'espère que ça t'aide et n'hésite pas à nous réécrire si tu as d'autres questions!
Anthony B.
Suggestions en lien avec la question
Suggestion en lien avec la question
Voici ce qui a été trouvé automatiquement sur le site, en espérant que ça t’aide!