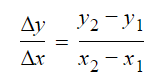
Pour trouver la pente d'une des droites, tu dois insérer les coordonnées de deux points connus sur cette droite dans la formule suivante :
Ce contenu est protégé par le droit d'auteur. Toute reproduction à l'extérieur des forums Alloprof est interdite et pourra être considérée comme une violation du droit d'auteur.
La pente de l'autre droite sera la même, mais de signe opposé.
Explication d'Alloprof
Cette explication a été donnée par un membre de l'équipe d'Alloprof.
Salut!
Pour trouver la pente d'une des droites, tu dois insérer les coordonnées de deux points connus sur cette droite dans la formule suivante :
Ce contenu est protégé par le droit d'auteur. Toute reproduction à l'extérieur des forums Alloprof est interdite et pourra être considérée comme une violation du droit d'auteur.
La pente de l'autre droite sera la même, mais de signe opposé.
Voici une fiche sur cette notion qui pourrait t'être utile : La recherche de la règle d'une fonction valeur absolue | Secondaire | Alloprof
Si tu as d'autres questions, on est là! :)
Suggestions en lien avec la question
Suggestion en lien avec la question
Voici ce qui a été trouvé automatiquement sur le site, en espérant que ça t’aide!