Postsecondaire • 3a
Bonjour, je dois compléter un devoir afin de me remémorer mes mathématiques, mais je n'arrive pas à factoriser cette expression. Il y a trop d'information. Par où dois-je commencer? M'expliquer la démarche complète svp.

Explication d'Alloprof
Cette explication a été donnée par un membre de l'équipe d'Alloprof.
Salut!
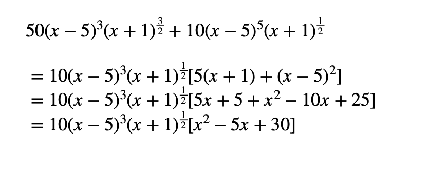
Pour factoriser cette expression, tu dois mettre en évidence le plus grand facteur commun entre les deux termes suivant :
Ce contenu est protégé par le droit d'auteur. Toute reproduction à l'extérieur des forums Alloprof est interdite et pourra être considérée comme une violation du droit d'auteur.
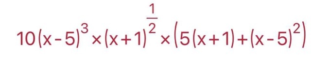
Le plus grand facteur commun est
$$ 10 (x-5)³ (x+1)^{\frac{1}{2}}$$
Tu auras donc :
Ce contenu est protégé par le droit d'auteur. Toute reproduction à l'extérieur des forums Alloprof est interdite et pourra être considérée comme une violation du droit d'auteur.
Tu peux ensuite simplifier l’expression de la dernière parenthèse.
Si tu as d’autres questions, on est là! :)
Tu isoles les termes communs aux deux expressions
Ce contenu est protégé par le droit d'auteur. Toute reproduction à l'extérieur des forums Alloprof est interdite et pourra être considérée comme une violation du droit d'auteur.
Le terme entre crochet ne se factorise pas davantage, si c'est cela qui te tracasse. (La parabole ne rencontre pas l'axe des x)
Suggestions en lien avec la question
Suggestion en lien avec la question
Voici ce qui a été trouvé automatiquement sur le site, en espérant que ça t’aide!