Ce contenu est protégé par le droit d'auteur. Toute reproduction à l'extérieur des forums Alloprof est interdite et pourra être considérée comme une violation du droit d'auteur.
Ce contenu est protégé par le droit d'auteur. Toute reproduction à l'extérieur des forums Alloprof est interdite et pourra être considérée comme une violation du droit d'auteur.
Alloprof est un service se focalisant davantage aux élèves de primaire 1 à secondaire 5. Pour ce qui est des intégral, je t'invite à consulter ton cégep ou encore ton professeur directement
En toute collaboration
VC
0
Suggestions en lien avec la question
Suggestion en lien avec la question
Voici ce qui a été trouvé automatiquement sur le site, en espérant que ça t’aide!
ou encore
Ce contenu est protégé par le droit d'auteur. Toute reproduction à l'extérieur des forums Alloprof est interdite et pourra être considérée comme une violation du droit d'auteur.
bonjour,
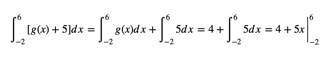
= integral de -2 à 6 de g(x) dx + integral de -2 à 6 de 5 dx
= 4 + ?
Explication vérifiée par Alloprof
Cette explication a été vérifiée par un membre de l’équipe d’Alloprof.
Bonjour Purple Python
Merci de ta question
Alloprof est un service se focalisant davantage aux élèves de primaire 1 à secondaire 5. Pour ce qui est des intégral, je t'invite à consulter ton cégep ou encore ton professeur directement
En toute collaboration
VC
Suggestions en lien avec la question
Suggestion en lien avec la question
Voici ce qui a été trouvé automatiquement sur le site, en espérant que ça t’aide!