Secondaire 3 • 3a
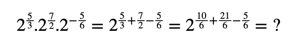
Bonjour, je ne comprends pas comment arriver à la réponse dans l'expression ci-dessous. La réponse doit être sous forme radical. Merci!
Bonjour, je ne comprends pas comment arriver à la réponse dans l'expression ci-dessous. La réponse doit être sous forme radical. Merci!
Explication vérifiée par Alloprof
Cette explication a été vérifiée par un membre de l’équipe d’Alloprof.
Mon indice:
Ce contenu est protégé par le droit d'auteur. Toute reproduction à l'extérieur des forums Alloprof est interdite et pourra être considérée comme une violation du droit d'auteur.
Suggestions en lien avec la question
Suggestion en lien avec la question
Voici ce qui a été trouvé automatiquement sur le site, en espérant que ça t’aide!