Je ne sais pas comment résoudre ce problème à l'aide des équations du MRUA.
Ce contenu est protégé par le droit d'auteur. Toute reproduction à l'extérieur des forums Alloprof est interdite et pourra être considérée comme une violation du droit d'auteur.
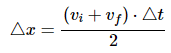
Lorsqu'on utilise ces équations, il est important de connaître le point initiale et finale ainsi que l'effet appliqué à l'objet (accélération). Prenons ton cas, tu as une vitesse initiale et une finale. Tu as aussi la distance de décélération. Toutefois, tu n'as pas de valeur pour l'accélération et tu cherches le temps.
Maintenant, en faisant une listes des données que tu as et de ce que tu cherches, tu dois choisir la formule à utiliser :
Ce contenu est protégé par le droit d'auteur. Toute reproduction à l'extérieur des forums Alloprof est interdite et pourra être considérée comme une violation du droit d'auteur.
Je te laisse essayer par toi-même et si tu as d'autres questions, n'hésite pas !
0
Suggestions en lien avec la question
Suggestion en lien avec la question
Voici ce qui a été trouvé automatiquement sur le site, en espérant que ça t’aide!
Explication d'Alloprof
Cette explication a été donnée par un membre de l'équipe d'Alloprof.
Salut !
Tout d'abord, j'aimerais te rediriger vers cette fiche qui contient les différentes équations MRUA :
Lorsqu'on utilise ces équations, il est important de connaître le point initiale et finale ainsi que l'effet appliqué à l'objet (accélération). Prenons ton cas, tu as une vitesse initiale et une finale. Tu as aussi la distance de décélération. Toutefois, tu n'as pas de valeur pour l'accélération et tu cherches le temps.
Maintenant, en faisant une listes des données que tu as et de ce que tu cherches, tu dois choisir la formule à utiliser :
Ce contenu est protégé par le droit d'auteur. Toute reproduction à l'extérieur des forums Alloprof est interdite et pourra être considérée comme une violation du droit d'auteur.
Je te laisse essayer par toi-même et si tu as d'autres questions, n'hésite pas !
Suggestions en lien avec la question
Suggestion en lien avec la question
Voici ce qui a été trouvé automatiquement sur le site, en espérant que ça t’aide!