Ce contenu est protégé par le droit d'auteur. Toute reproduction à l'extérieur des forums Alloprof est interdite et pourra être considérée comme une violation du droit d'auteur.
Bonjour, j’aimerais qu’on m’explique comment faire le numéro 5 b merci !
{t c="richEditor.description.title"} {t c="richEditor.description.paragraphMenu"} {t c="richEditor.description.inlineMenu"} {t c="richEditor.description.embed"}
Salut!Â
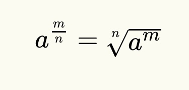
Tout d’abord, tu dois connaître la loi des exposants suivante :
Tu pourras ensuite transformer tes racines carrées en exposants, puis soustraire l’exposant du dénominateur de celui du numérateur, ou tu peux transformer l’exposant en une racine carrée, puis calculer la racine carrée de 32/2.
Je te laisse continuer. Si tu as d’autres questions, reviens nous voir! :)
Explication d'Alloprof
Cette explication a été donnée par un membre de l'équipe d'Alloprof.
Bonjour Galaxie Optimiste!
Merci de faire appel à nos services!
D'abord, rappelons-nous qu'un exposant 1/2 correspond à une racine carrée. Ainsi,
$$ \frac{\sqrt{32}}{2^{1/2}} \times \frac{ 3^{1/2}}{\sqrt{5}} = \frac{\sqrt{32}}{\sqrt{2}} \times \frac{ \sqrt{3}}{\sqrt{5}} $$
Par la suite, tu pourras simplifier les racines à l'aide des propriétés des racines! Tu peux les réviser en consultant la fiche explicative suivante:
J'espère que cela t'aidera!
Voici ce qui a été trouvé automatiquement sur le site, en espérant que ça t’aide!
Salut!Â
Tout d’abord, tu dois connaître la loi des exposants suivante :
Ce contenu est protégé par le droit d'auteur. Toute reproduction à l'extérieur des forums Alloprof est interdite et pourra être considérée comme une violation du droit d'auteur.
Tu pourras ensuite transformer tes racines carrées en exposants, puis soustraire l’exposant du dénominateur de celui du numérateur, ou tu peux transformer l’exposant en une racine carrée, puis calculer la racine carrée de 32/2.
Je te laisse continuer. Si tu as d’autres questions, reviens nous voir! :)
Explication d'Alloprof
Cette explication a été donnée par un membre de l'équipe d'Alloprof.
Bonjour Galaxie Optimiste!
Merci de faire appel à nos services!
D'abord, rappelons-nous qu'un exposant 1/2 correspond à une racine carrée. Ainsi,
$$ \frac{\sqrt{32}}{2^{1/2}} \times \frac{ 3^{1/2}}{\sqrt{5}} = \frac{\sqrt{32}}{\sqrt{2}} \times \frac{ \sqrt{3}}{\sqrt{5}} $$
Par la suite, tu pourras simplifier les racines à l'aide des propriétés des racines! Tu peux les réviser en consultant la fiche explicative suivante:
J'espère que cela t'aidera!
Suggestions en lien avec la question
Suggestion en lien avec la question
Voici ce qui a été trouvé automatiquement sur le site, en espérant que ça t’aide!