Secondaire 4 • 3a
Quelqu’un pourrait m’aider à comprendre comment faire la règle afin de trouver la résistance équivalente d’un circuit en parallèle.
Merci
Quelqu’un pourrait m’aider à comprendre comment faire la règle afin de trouver la résistance équivalente d’un circuit en parallèle.
Merci
Explication vérifiée par Alloprof
Cette explication a été vérifiée par un membre de l’équipe d’Alloprof.
Bonjour PerroquetTurquoise5777,
Tout d'abord, la résistance équivalente, ou résistance totale, est la valeur de la résistance qui permettrait de remplacer toutes les résistances d'un circuit par une seule résistance.
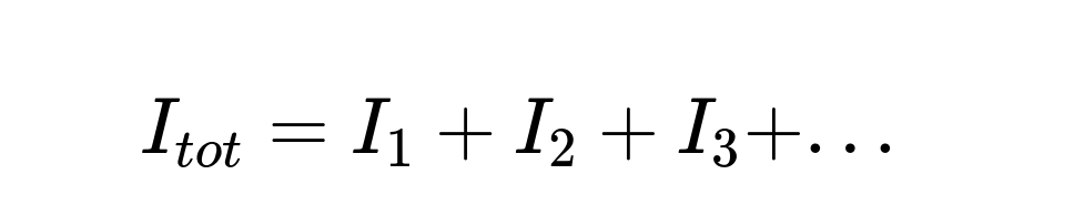
En effet, dans un circuit en parallèle, les valeurs d'intensité s'additionnent pour donner l'intensité totale dans le circuit électrique:
Ce contenu est protégé par le droit d'auteur. Toute reproduction à l'extérieur des forums Alloprof est interdite et pourra être considérée comme une violation du droit d'auteur.
En utilisant la loi d'Ohm, il est possible de substituer l'intensité (I) par U/R.
Ce contenu est protégé par le droit d'auteur. Toute reproduction à l'extérieur des forums Alloprof est interdite et pourra être considérée comme une violation du droit d'auteur.
Dans un circuit en parallèle, la tension est toujours la même. En éliminant la tension dans chacun des termes, on obtient la formule qui permet de calculer la résistance équivalente dans un circuit en parallèle.
Ce contenu est protégé par le droit d'auteur. Toute reproduction à l'extérieur des forums Alloprof est interdite et pourra être considérée comme une violation du droit d'auteur.
À partir de cette formule, il est possible de déduire que la résistance équivalente d'un circuit diminuera chaque fois qu'un résistor sera ajouté dans un circuit en parallèle.
Voici un exemple:
Ce contenu est protégé par le droit d'auteur. Toute reproduction à l'extérieur des forums Alloprof est interdite et pourra être considérée comme une violation du droit d'auteur.
Également, je crois que cette fiche d'Alloprof pourrait être un bon début pour te donner plus d'informations et d'exercices sur les résistances équivalentes.
J'espère que cela répond à ta question,
Bonne étude,
PerleRose1411
Suggestions en lien avec la question
Suggestion en lien avec la question
Voici ce qui a été trouvé automatiquement sur le site, en espérant que ça t’aide!